Open Access

Fig. A.1.

Fig. A.1. Refer to the following caption and surrounding text.

Download original image

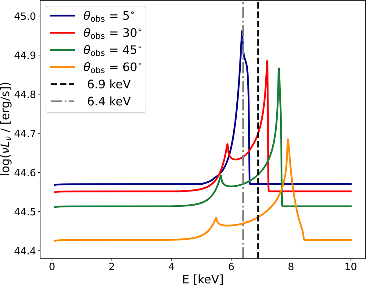
Spectrum generated by GYOTO for various viewing angles, computed for an injected single Gaussian line with μ = 6.9 keV and σ = 10 eV. The computations have been made for a non-spinning black hole with 108 M, and for an integration disk surface from rin = rISCO + 1 to rout = 25 rg. The equivalent width was chosen as 600 eV and was kept constant at all radii. The vertical dashed black line depicts the 6.9 keV, while the vertical dash-dotted gray line depicts 6.4 keV.

Current usage metrics show cumulative count of Article Views (full-text article views including HTML views, PDF and ePub downloads, according to the available data) and Abstracts Views on Vision4Press platform.

Data correspond to usage on the plateform after 2015. The current usage metrics is available 48-96 hours after online publication and is updated daily on week days.

Initial download of the metrics may take a while.