Open Access

Fig. B.3.

Fig. B.3. Refer to the following caption and surrounding text.

Download original image

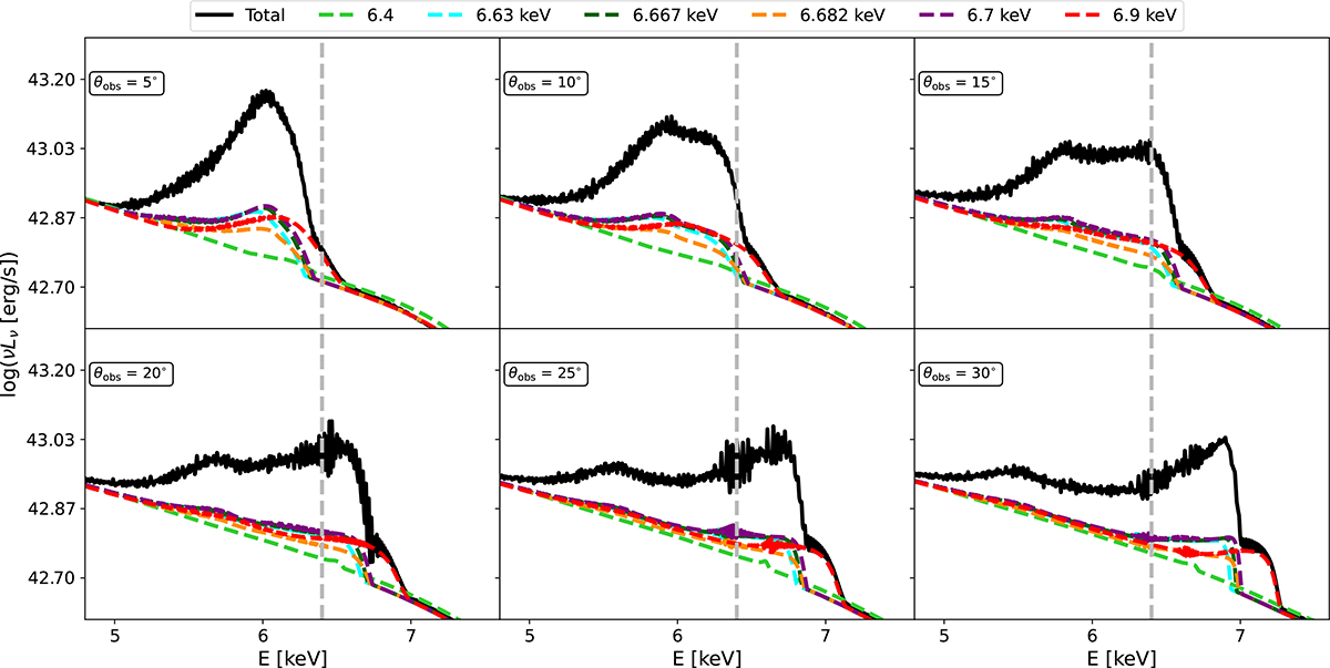
Contribution of the individual lines to the total line profile computed for different angles. The depicted colors are the same as Fig. 13, with the addition of light green showing the contribution from the 6.4 keV fluorescent iron line.

Current usage metrics show cumulative count of Article Views (full-text article views including HTML views, PDF and ePub downloads, according to the available data) and Abstracts Views on Vision4Press platform.

Data correspond to usage on the plateform after 2015. The current usage metrics is available 48-96 hours after online publication and is updated daily on week days.

Initial download of the metrics may take a while.