Open Access

Fig. 7.

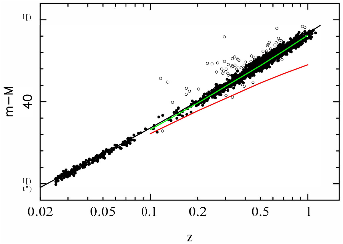
Fig. 7. Refer to the following caption and surrounding text.

Download original image

Currently leading supernova cosmology Hubble diagram of DES Collaboration (2024; distance modulus vs. redshift). The open circles show outliers that were not used in the fit. The solid line shows the Planck cosmology fit, the red curve shows the same equation without dark energy, and the green curve shows Eq. (3) with the optimum value of Ωma2.

Current usage metrics show cumulative count of Article Views (full-text article views including HTML views, PDF and ePub downloads, according to the available data) and Abstracts Views on Vision4Press platform.

Data correspond to usage on the plateform after 2015. The current usage metrics is available 48-96 hours after online publication and is updated daily on week days.

Initial download of the metrics may take a while.