Open Access

Fig. 5

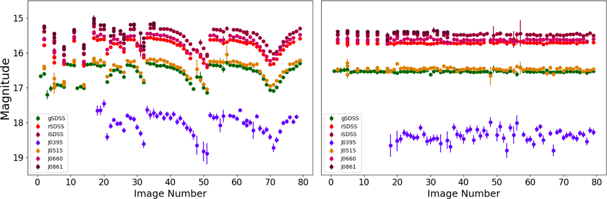
Fig. 5 Refer to the following caption and surrounding text.

Download original image

Example light curves in all seven filters for the known eclipsing binary LINEAR 11957623 (J-PLUS ID: 94202-6998, left panel) and the non-variable star JVAR142535.72+524108.68 (J-PLUS ID: 94202-13483, right panel), selected from the same J-VAR DR1 field (02357). Both light curves are plotted as consecutive points and not according to their time stamps for clarity.

Current usage metrics show cumulative count of Article Views (full-text article views including HTML views, PDF and ePub downloads, according to the available data) and Abstracts Views on Vision4Press platform.

Data correspond to usage on the plateform after 2015. The current usage metrics is available 48-96 hours after online publication and is updated daily on week days.

Initial download of the metrics may take a while.