Open Access

Fig. 7

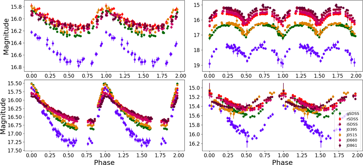
Fig. 7 Refer to the following caption and surrounding text.

Download original image

Light curves of known variable stars in J-VAR DR1, folded on their published periods (data from VSX). A full cycle is repeated for clarity. Top left: ATO J273.8337+29.9420, a high-amplitude delta Sct (HADS); top right: LINEAR 11957623, a WUMa-type binary (EW); bottom left: LINEAR 9122839, an RRLyr-type variable (RRab); bottom right: CRTS J170902.5+25314, also an RRLyr type (RRc).

Current usage metrics show cumulative count of Article Views (full-text article views including HTML views, PDF and ePub downloads, according to the available data) and Abstracts Views on Vision4Press platform.

Data correspond to usage on the plateform after 2015. The current usage metrics is available 48-96 hours after online publication and is updated daily on week days.

Initial download of the metrics may take a while.