Open Access

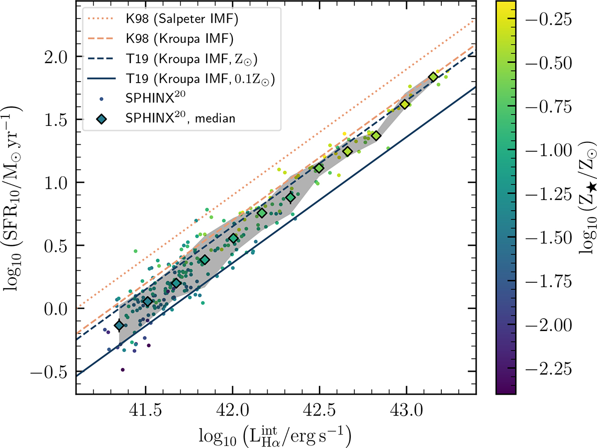
Fig. 1.

Fig. 1. Refer to the following caption and surrounding text.

Download original image

Intrinsic SFR–LHα relation in the SPHINX20 cosmological simulation, color-coded by the stellar metallicity. The SFR values are averaged over t = 10 Myr, i.e., the typical lifetime of stars traced by Hα. The diamonds show the median SFR in the bins of L H α int Mathematical equation: $ L_{\mathrm{H}\alpha}^{\mathrm{int}} $, with the error bars showing the standard error on the median. The shaded region indicates the 68% (1σ) confidence interval. The diagonal lines show the SFR(Hα) calibrations from the literature, i.e. (top to bottom), the original K98 calibration, the K98 calibration converted into the Kroupa IMF, and two calibrations from T19 calculated for the Kroupa IMF and two different metallicities (Z* = Z and Z* = 0.1 Z, respectively).

Current usage metrics show cumulative count of Article Views (full-text article views including HTML views, PDF and ePub downloads, according to the available data) and Abstracts Views on Vision4Press platform.

Data correspond to usage on the plateform after 2015. The current usage metrics is available 48-96 hours after online publication and is updated daily on week days.

Initial download of the metrics may take a while.