Open Access

Fig. 10.

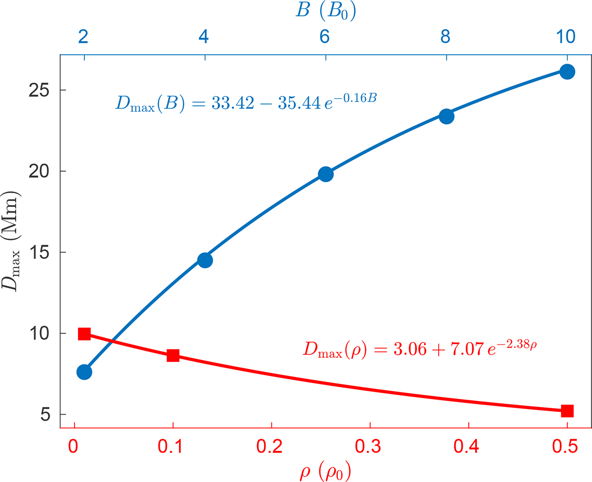
Fig. 10. Refer to the following caption and surrounding text.

Download original image

Maximum distance Dmax between the upper and lower magnetic-structure centres (with Bx = By = 0) as a function of multiplication of the initial magnetic field (2 B0, 4 B0, 6 B0, 8 B0, and 10 B0, with B0 = 10−3 T; top x axis) and as a function of the filament density dilution (0.01 ρ0, 0.1 ρ0, and 0.5 ρ0, where ρ0 is the initial density in the filament; bottom x axis).

Current usage metrics show cumulative count of Article Views (full-text article views including HTML views, PDF and ePub downloads, according to the available data) and Abstracts Views on Vision4Press platform.

Data correspond to usage on the plateform after 2015. The current usage metrics is available 48-96 hours after online publication and is updated daily on week days.

Initial download of the metrics may take a while.