Open Access

Fig. 12.

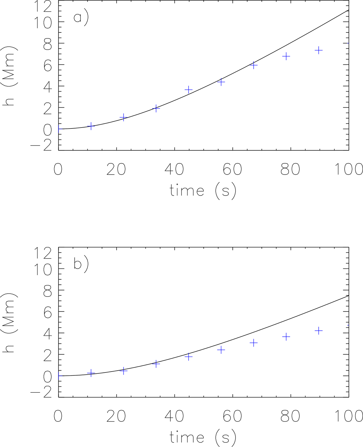
Fig. 12. Refer to the following caption and surrounding text.

Download original image

Time evolution of height h of the upper current in the ideal vacuum model (solid lines) and of the filament’s maximum current density in the MHD model (crosses), both measured relative to their initial equilibrium positions, over the 0 − 100 s interval, for the two cases with 4 B0 (panel a) and 0.1 ρ0 (panel b).

Current usage metrics show cumulative count of Article Views (full-text article views including HTML views, PDF and ePub downloads, according to the available data) and Abstracts Views on Vision4Press platform.

Data correspond to usage on the plateform after 2015. The current usage metrics is available 48-96 hours after online publication and is updated daily on week days.

Initial download of the metrics may take a while.