Open Access

Fig. 5.

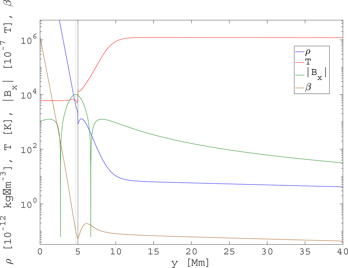
Fig. 5. Refer to the following caption and surrounding text.

Download original image

Vertical profiles of the absolute value of the Bx component of the magnetic field (green line), mass density ρ (blue line), temperature T (red line), and plasma beta parameter β (brown line) along the axis of symmetry (x = 0 Mm) in the initial equilibrium state for B0 = 10−3 T and k = 5 × 10−7 m−1. The vertical, solid black line shows the location of the transition region, hTR = 5 Mm, as defined in our model, while the vertical dotted line denotes the midpoint between the filaments h0 = 4.7 Mm. Note that the y axis is on a logarithmic scale.

Current usage metrics show cumulative count of Article Views (full-text article views including HTML views, PDF and ePub downloads, according to the available data) and Abstracts Views on Vision4Press platform.

Data correspond to usage on the plateform after 2015. The current usage metrics is available 48-96 hours after online publication and is updated daily on week days.

Initial download of the metrics may take a while.