Open Access

Fig. 8.

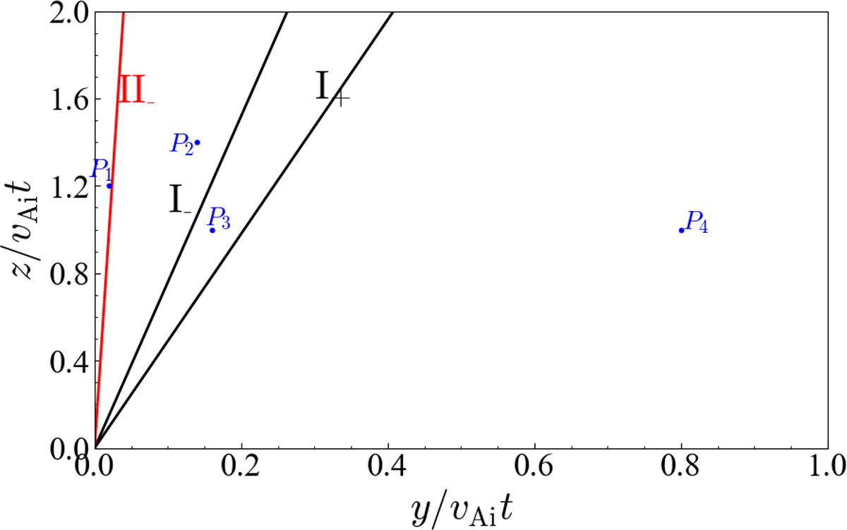
Fig. 8. Refer to the following caption and surrounding text.

Download original image

Categorization of the y/t − z/t plane in terms of large-time expectations for the morphological features of impulsive kink motions. The bordering straight lines are determined by the limiting behavior of the group velocities as derived from Figs. 3 and 6. Line I+ pertains to B0-same-side fundamental modes, while line I (II) pertains to B0-straddling modes associated with the transverse fundamental (first overtone). Four sectors result. Different morphological features are expected for different sectors, the difference being particularly pronounced when line I is crossed. One representative point in each sector (marked P1 to P4) is selected for further quantitative analysis (see text for more details).

Current usage metrics show cumulative count of Article Views (full-text article views including HTML views, PDF and ePub downloads, according to the available data) and Abstracts Views on Vision4Press platform.

Data correspond to usage on the plateform after 2015. The current usage metrics is available 48-96 hours after online publication and is updated daily on week days.

Initial download of the metrics may take a while.