Open Access

Fig. 4

Fig. 4 Refer to the following caption and surrounding text.

Download original image

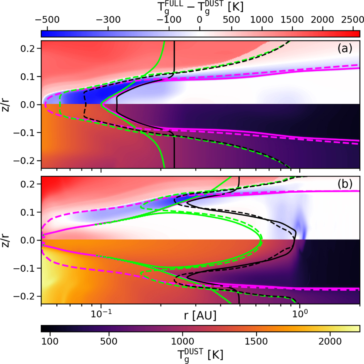
Differences between the models DUST and FULL during quiescence (panel a) and outburst (panel b). The coloured contour lines represent the same transitions as in Fig. 3, with the solid lines corresponding to DUST and the dashed lines to FULL. The upper halves of the panels show the differences in temperature between the two models, while the lower halves depict the absolute temperature of DUST.

Current usage metrics show cumulative count of Article Views (full-text article views including HTML views, PDF and ePub downloads, according to the available data) and Abstracts Views on Vision4Press platform.

Data correspond to usage on the plateform after 2015. The current usage metrics is available 48-96 hours after online publication and is updated daily on week days.

Initial download of the metrics may take a while.