Open Access

Fig. 8.

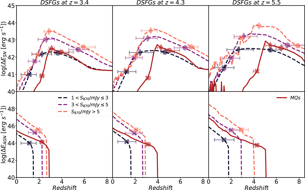
Fig. 8. Refer to the following caption and surrounding text.

Download original image

Evolution of the median energy input rate from supernovae (SN; top panels) and active galactic nuclei (AGN; bottom panels) for massive quiescent progenitors (red solid lines), faint (dark blue dashed lines), intermediate (purple dashed lines), and bright (orange dashed lines) dusty star-forming galaxies selected at z = 3.4 (left panel), z = 4.3 (central panel), and z = 5.5 (right panel), the redshifts at which the majority of MQs at z = 2, 3, and 4, were DSFGs. The crosses indicate the median redshift at which a given galaxy population first satisfied the quiescent criteria (sSFR ≤ 0.2/tobs(z)). The energy input from AGN feedback rises rapidly close to the quenching epoch, dominating the energy injection rate over SN feedback by at least two orders of magnitude. This suggests that AGN feedback is the main mechanism that quenches the star formation in the four populations, but that this happens earlier for MQs.

Current usage metrics show cumulative count of Article Views (full-text article views including HTML views, PDF and ePub downloads, according to the available data) and Abstracts Views on Vision4Press platform.

Data correspond to usage on the plateform after 2015. The current usage metrics is available 48-96 hours after online publication and is updated daily on week days.

Initial download of the metrics may take a while.