Open Access

Fig. C.3.

Fig. C.3. Refer to the following caption and surrounding text.

Download original image

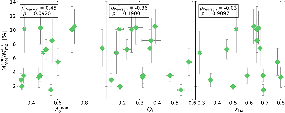
Central ring molecular gas fraction as function of the bar parameters A2max (bar maximum normalized m = 2 Fourier amplitude; left), Qb (bar gravitational torque parameter; middle), and εbar (bar ellipticity; right). Symbols are the same as in Fig. 1.

Current usage metrics show cumulative count of Article Views (full-text article views including HTML views, PDF and ePub downloads, according to the available data) and Abstracts Views on Vision4Press platform.

Data correspond to usage on the plateform after 2015. The current usage metrics is available 48-96 hours after online publication and is updated daily on week days.

Initial download of the metrics may take a while.