Open Access

Fig. 5

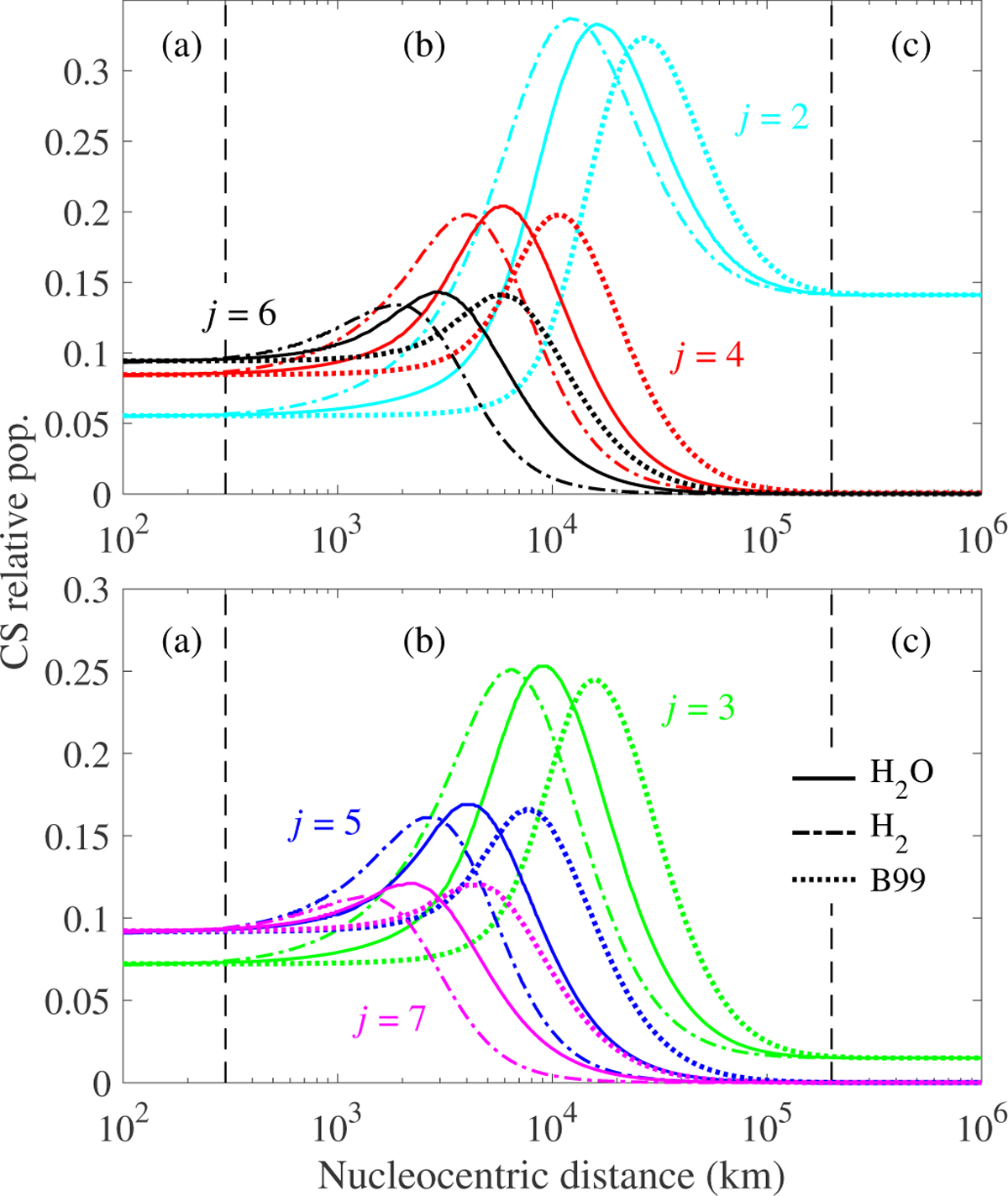
Fig. 5 Refer to the following caption and surrounding text.

Download original image

Population of CS energy levels (2 ≤ jCS ≤ 7) as a function of the nucleocentric distance (in km) using CS–H2O thermalized rate coefficients computed in this work (solid lines) and CS–H2 thermalized rate coefficients (dash-dotted lines) at 100 K. The range of nucleocentric delimits the following zones: (a) inner-coma, LTE; (b) mid-coma non-LTE; (c) outer coma fluorescence. Odd and even jCS have been separated for the sake of clarity.

Current usage metrics show cumulative count of Article Views (full-text article views including HTML views, PDF and ePub downloads, according to the available data) and Abstracts Views on Vision4Press platform.

Data correspond to usage on the plateform after 2015. The current usage metrics is available 48-96 hours after online publication and is updated daily on week days.

Initial download of the metrics may take a while.