Open Access

Fig. 11.

Fig. 11. Refer to the following caption and surrounding text.

Download original image

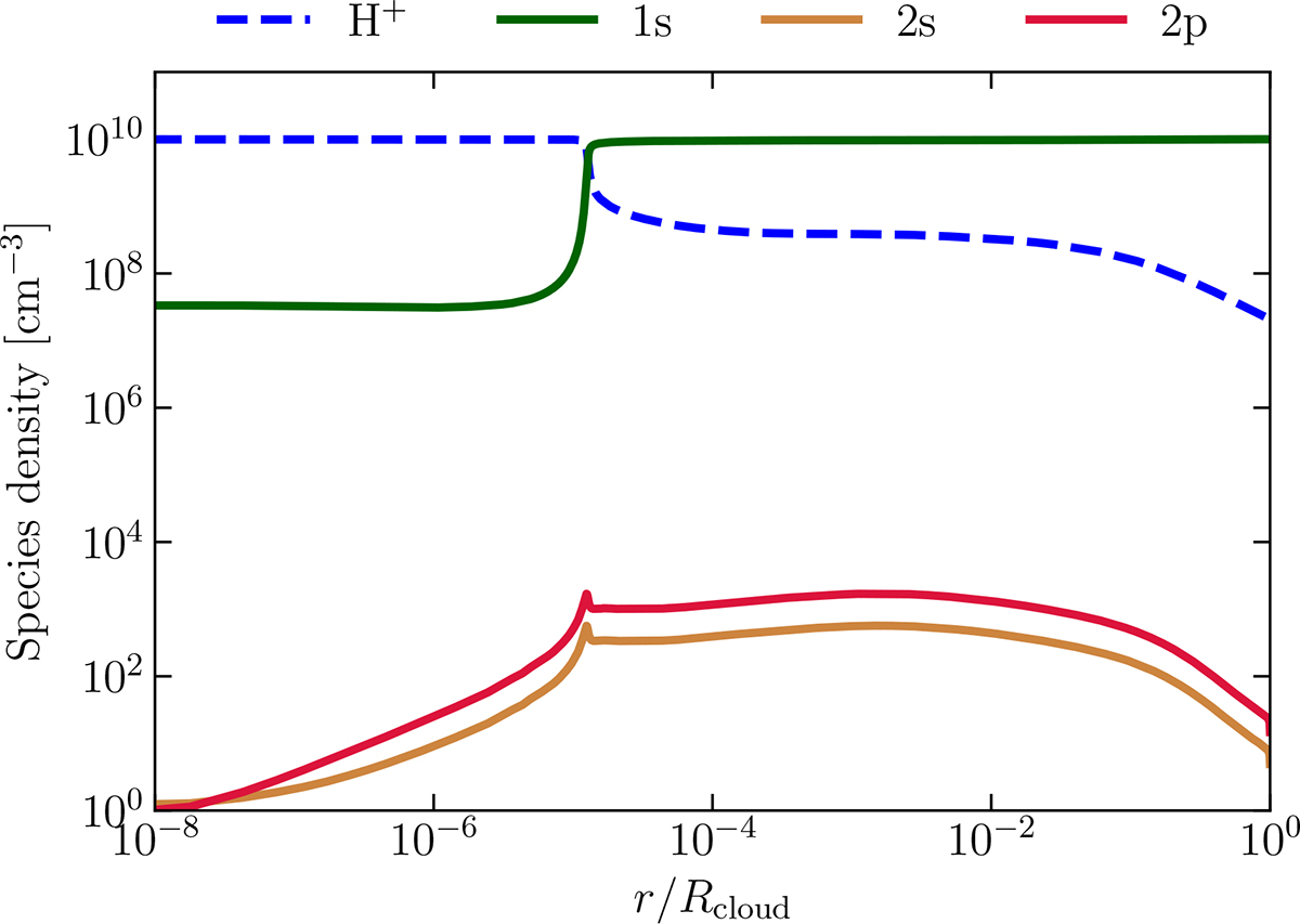
Density of hydrogen species inside a photoionized slab. We show the volumetric density of fully ionized hydrogen (blue dashed) and first three levels (1s, 2s, 2p) of neutral hydrogen (solid lines) as a function of depth into the photoionized cloud of Fig. 10. Although most neutral hydrogen in the envelope is in the 1s state, there is a significant population (ne ≈ 103 cm−3) of electrons in the 2s state, which produces the Balmer break, and resonant scattering of Balmer lines (N(H I, 2s) ≈1016 cm−2). The high column density of free electrons in the same region could be responsible for electron scattering broadening of the Balmer lines.

Current usage metrics show cumulative count of Article Views (full-text article views including HTML views, PDF and ePub downloads, according to the available data) and Abstracts Views on Vision4Press platform.

Data correspond to usage on the plateform after 2015. The current usage metrics is available 48-96 hours after online publication and is updated daily on week days.

Initial download of the metrics may take a while.