Open Access

Fig. D.1.

Fig. D.1. Refer to the following caption and surrounding text.

Download original image

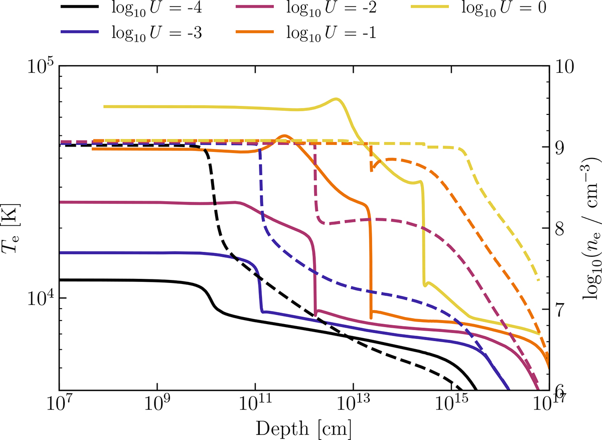
Temperature-density structure of a suite of BH* models, for varying ionization parameter. Same as Fig. 9, but for a fixed nH = 109 cm−3, for different choices of the ionization parameter log10U. The solid lines indicate temperature (left axis) and the dashed lines indicate electron density (right axis). The ionization parameter mainly influences the temperature of the gas before the ionization front. All the models present a thermalized outer layer with Te ≈ 6000–7500 K, independently of log10U.

Current usage metrics show cumulative count of Article Views (full-text article views including HTML views, PDF and ePub downloads, according to the available data) and Abstracts Views on Vision4Press platform.

Data correspond to usage on the plateform after 2015. The current usage metrics is available 48-96 hours after online publication and is updated daily on week days.

Initial download of the metrics may take a while.