Open Access

Fig. 9.

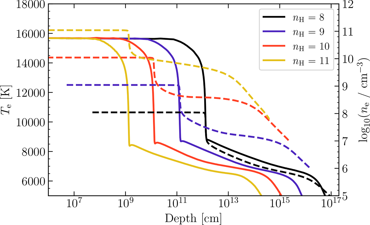
Fig. 9. Refer to the following caption and surrounding text.

Download original image

Temperature-density structure of a suite of BH* models. We show the electron temperature (solid lines) and electron density (dashed lines) profiles for models corresponding to log10U = −3, vturb = 210 km s−1 and Z/Z = 0.01, for a wide range of hydrogen densities. All models are characterized by a hot (∼16 000 K; see Fig. D1 for the temperature with different choices of ionization parameter) and dense ionized region whose temperature and density abruptly drop at an ionization front, its radius dependent on density, and a thermalized outer layer of ∼6000–7500 K.

Current usage metrics show cumulative count of Article Views (full-text article views including HTML views, PDF and ePub downloads, according to the available data) and Abstracts Views on Vision4Press platform.

Data correspond to usage on the plateform after 2015. The current usage metrics is available 48-96 hours after online publication and is updated daily on week days.

Initial download of the metrics may take a while.