Open Access

Fig. 3.

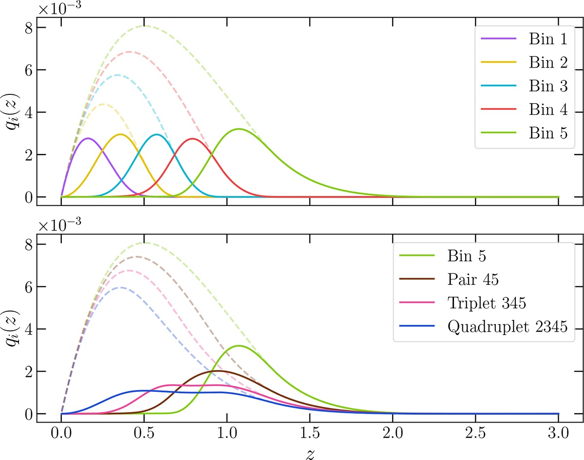
Fig. 3. Refer to the following caption and surrounding text.

Download original image

Lensing efficiency kernels for the DR3 configuration. The dashed lines represent the standard kernels (Eq. 10), while the BNT-transformed kernels (Eq. 11) are shown in solid lines. Top-panel: Kernels for the single bins. Bottom panel: Kernels for the merged bins involving z5.

Current usage metrics show cumulative count of Article Views (full-text article views including HTML views, PDF and ePub downloads, according to the available data) and Abstracts Views on Vision4Press platform.

Data correspond to usage on the plateform after 2015. The current usage metrics is available 48-96 hours after online publication and is updated daily on week days.

Initial download of the metrics may take a while.