Open Access

Fig. 8

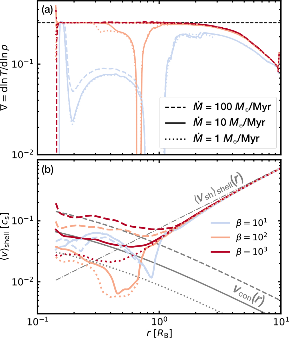
Fig. 8 Refer to the following caption and surrounding text.

Download original image

Shell-averaged temperature gradient and mean velocity for different β values and accretion luminosities. All panels are the states at the end of the calculation, t=50. The dashed, solid, and dotted gray curves in panel b are given by Eq. (24) with an assumption of fully convective envelopes (lm=RB). Thus, these gray lines should be compared with the red lines. The dashed-dotted gray curve is given by Eq. (22).

Current usage metrics show cumulative count of Article Views (full-text article views including HTML views, PDF and ePub downloads, according to the available data) and Abstracts Views on Vision4Press platform.

Data correspond to usage on the plateform after 2015. The current usage metrics is available 48-96 hours after online publication and is updated daily on week days.

Initial download of the metrics may take a while.