Open Access

Fig. 11.

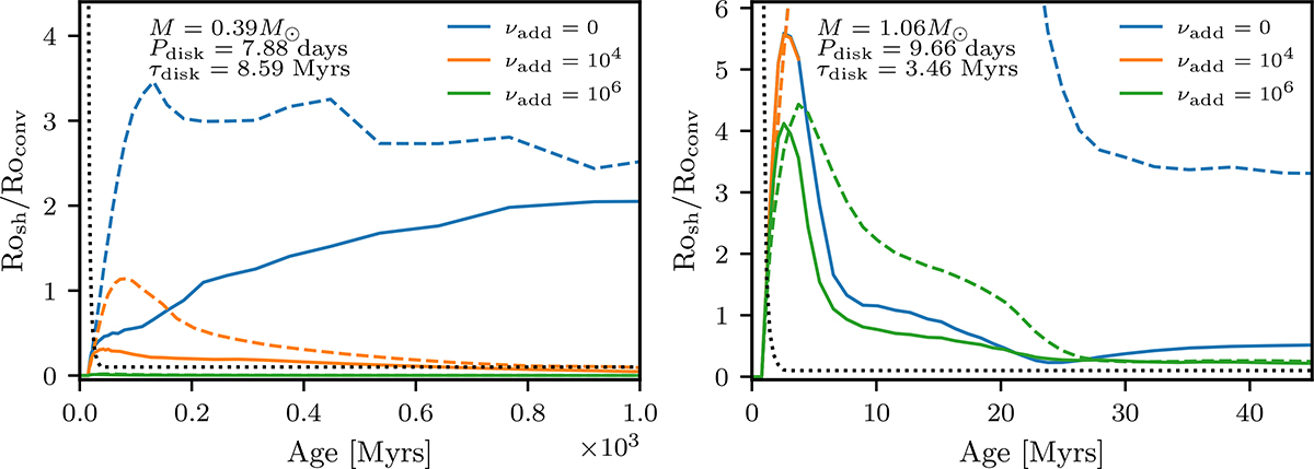
Fig. 11. Refer to the following caption and surrounding text.

Download original image

Evolution with stellar age of the ratios Rosh, Hp/Roconv, mid (solid lines) or Rosh, glob/Roconv, mid (dashed lines). The color corresponds to the additional viscosity considered for the angular momentum transport. The dotted black line corresponds to the threshold defined in Eq. (7) for Pm = 4, with a minimum value of 0.1. Each panel corresponds to a given evolutionary track, whose initial parameters are given in each plot.

Current usage metrics show cumulative count of Article Views (full-text article views including HTML views, PDF and ePub downloads, according to the available data) and Abstracts Views on Vision4Press platform.

Data correspond to usage on the plateform after 2015. The current usage metrics is available 48-96 hours after online publication and is updated daily on week days.

Initial download of the metrics may take a while.