Open Access

Fig. 6.

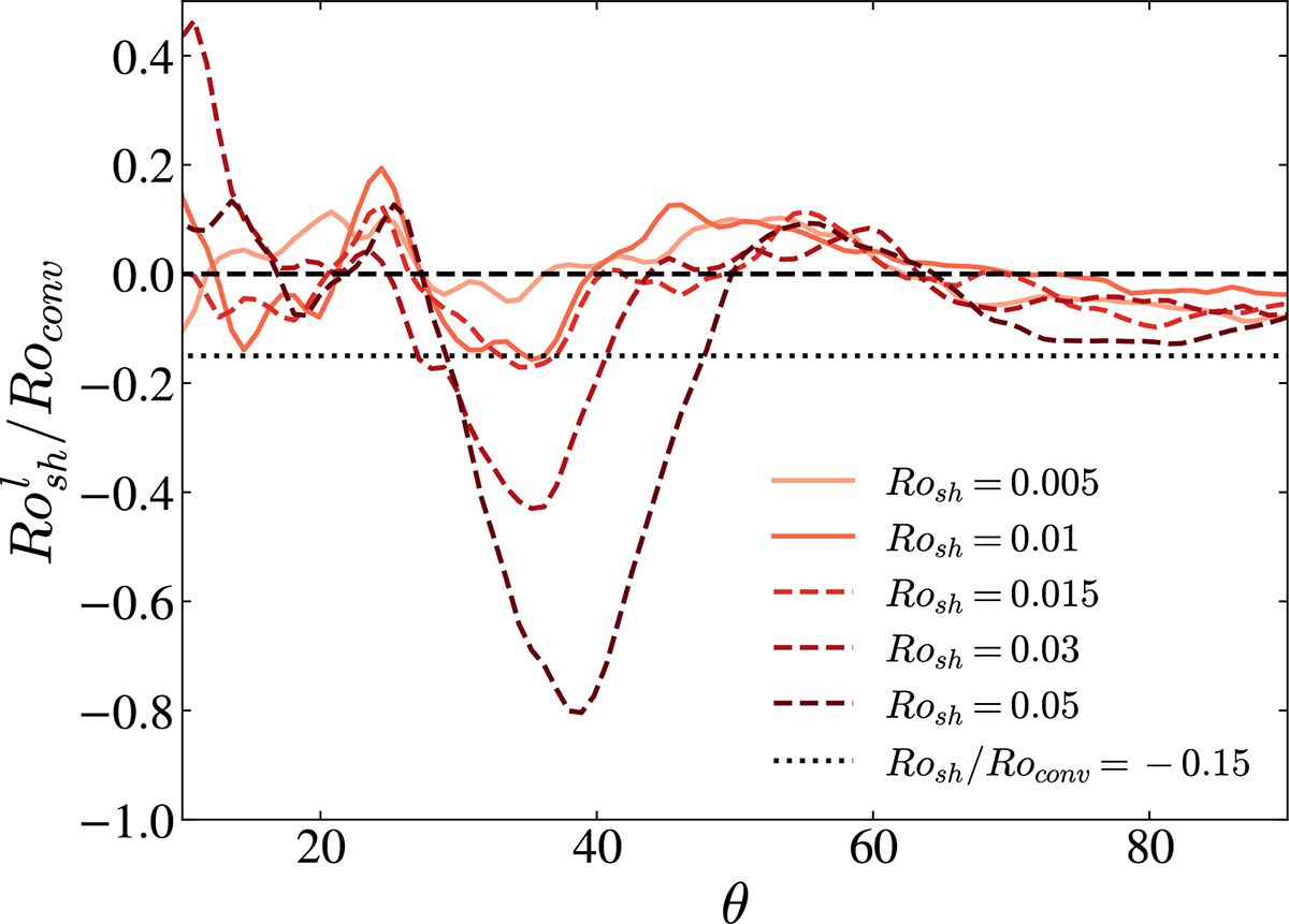
Fig. 6. Refer to the following caption and surrounding text.

Download original image

Ratio of the local radial shear to the local convective Rossby number as a function of latitude (in degree) at the midgap, r/ro = 0.5, for varying Rosh. Solid lines denote stable dipolar states, with magnetic topology as depicted in Fig. 5a, and dashed lines denote collapsed dipoles as those depicted in Fig. 5b.

Current usage metrics show cumulative count of Article Views (full-text article views including HTML views, PDF and ePub downloads, according to the available data) and Abstracts Views on Vision4Press platform.

Data correspond to usage on the plateform after 2015. The current usage metrics is available 48-96 hours after online publication and is updated daily on week days.

Initial download of the metrics may take a while.