Open Access

Fig. 7.

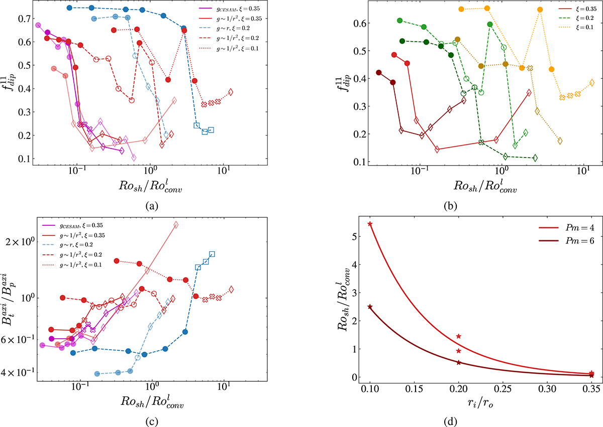
Fig. 7. Refer to the following caption and surrounding text.

Download original image

Integral properties of the dynamo with increase of differential rotation. (a) Time-averaged dipolarity parameter as a function of the ratio between shear and convective Rossby numbers for Pm = 4 and three different gravity profiles: g(r) from CESAM in Eq. (3) in magenta, g ∝ 1/r2 in red, and g ∝ r in blue. The lines represent the following: solid lines, ξ = 0.35; dashed, ξ = 0.2; and dotted, ξ = 0.1. More (less) transparent lines correspond to the runs with a lower (higher) Ra number, for a fixed gravity profile and radius ratio (see Table B.1). The shapes represent the following: filled circles, stable dipoles (Fig. 5a); empty circles, reversing dipoles; diamonds, dipolar-quadrupolar waves (Fig. 5b); crosses, mixed dipolar and multipolar solutions without coherent temporal dynamics (Fig. 5c); and squares, equatorially symmetric solutions (Fig. 5d). (b) Same as in panel (a) but for g ∝ 1/r2 only and varying radius ratio. Light color, Pm = 4; dark color Pm = 6. Line styles and symbols as in panel (a). (c) Ratio of rms of axisymmetric toroidal and poloidal magnetic components Btaxi and Btaxi. Runs, lines, and symbols are the same as in panel (a). (d) Estimated critical collapse value of Rosh/Roconv from all curves in panels (a) and (b), as a function of Pm and radius ratio ξ (stars) and the corresponding exponential fits (lines, Eq. 7).

Current usage metrics show cumulative count of Article Views (full-text article views including HTML views, PDF and ePub downloads, according to the available data) and Abstracts Views on Vision4Press platform.

Data correspond to usage on the plateform after 2015. The current usage metrics is available 48-96 hours after online publication and is updated daily on week days.

Initial download of the metrics may take a while.