Open Access

Fig. D.1

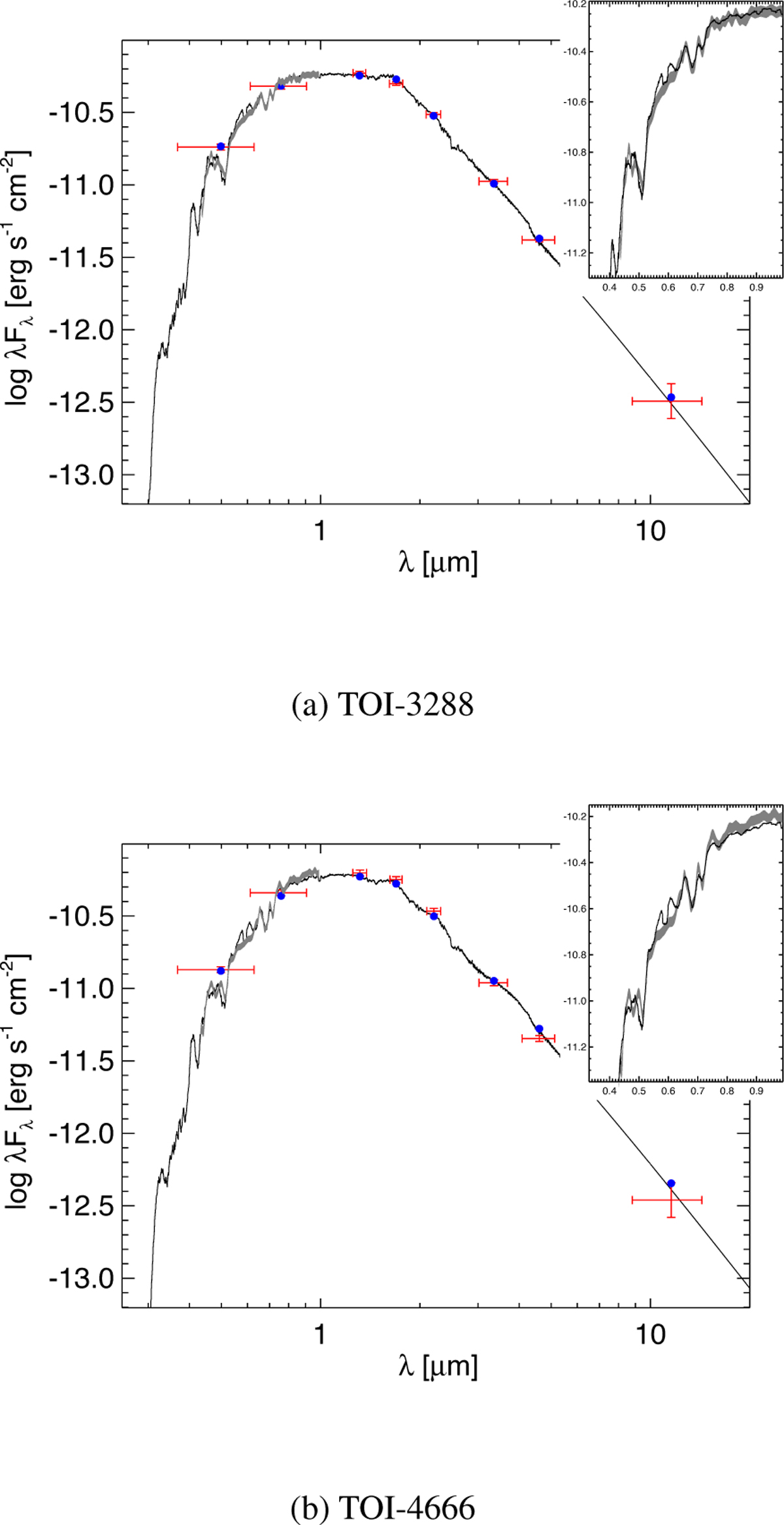
Fig. D.1 Refer to the following caption and surrounding text.

Download original image

The SEDs of the presented stars with giant companions. Red symbols represent the observed photometric measurements (as discussed in Section 4.2), and the horizontal bars represent the effective width of the passband. Blue symbols are the model fluxes from the best-fit PHOENIX atmosphere model (black). The insets show the absolute flux-calibrated Gaia spectrophotometry as a grey swathe overlaid on the model (black).

Current usage metrics show cumulative count of Article Views (full-text article views including HTML views, PDF and ePub downloads, according to the available data) and Abstracts Views on Vision4Press platform.

Data correspond to usage on the plateform after 2015. The current usage metrics is available 48-96 hours after online publication and is updated daily on week days.

Initial download of the metrics may take a while.