Open Access

Fig. 3

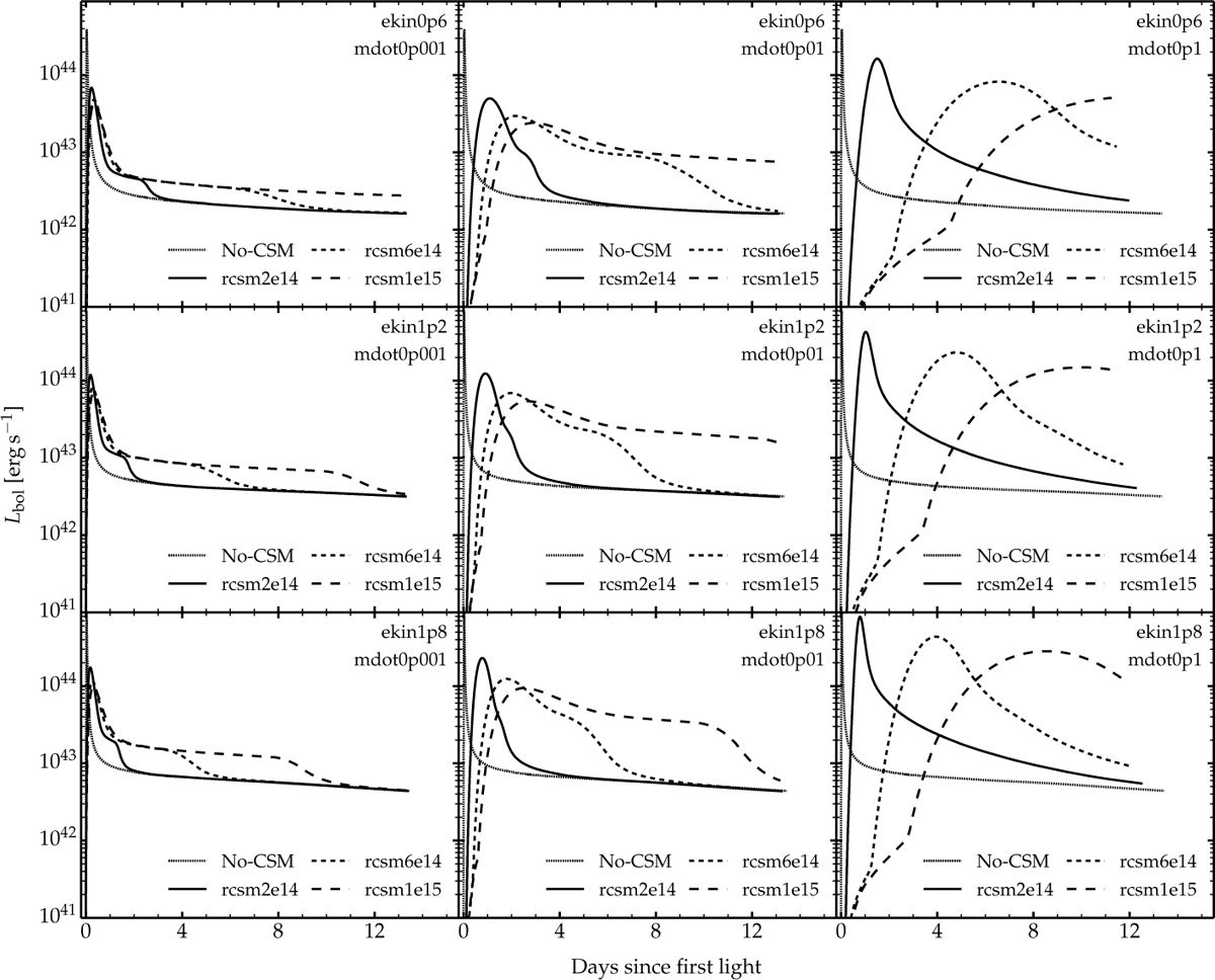
Fig. 3 Refer to the following caption and surrounding text.

Download original image

Bolometric light curves calculated with the multigroup radiation-hydrodynamics code HERACLES and tiled according to the model ejecta kinetic energy (one value per row), CSM density (one value of M˙ per column), and CSM extent (three values per panel, with the No-CSM counterpart shown as a dotted line). The x-axis origin is chosen to be when each model first brightens to a luminosity of 1040 erg s−1, as recorded at the outer grid boundary.

Current usage metrics show cumulative count of Article Views (full-text article views including HTML views, PDF and ePub downloads, according to the available data) and Abstracts Views on Vision4Press platform.

Data correspond to usage on the plateform after 2015. The current usage metrics is available 48-96 hours after online publication and is updated daily on week days.

Initial download of the metrics may take a while.