Open Access

Fig. 1

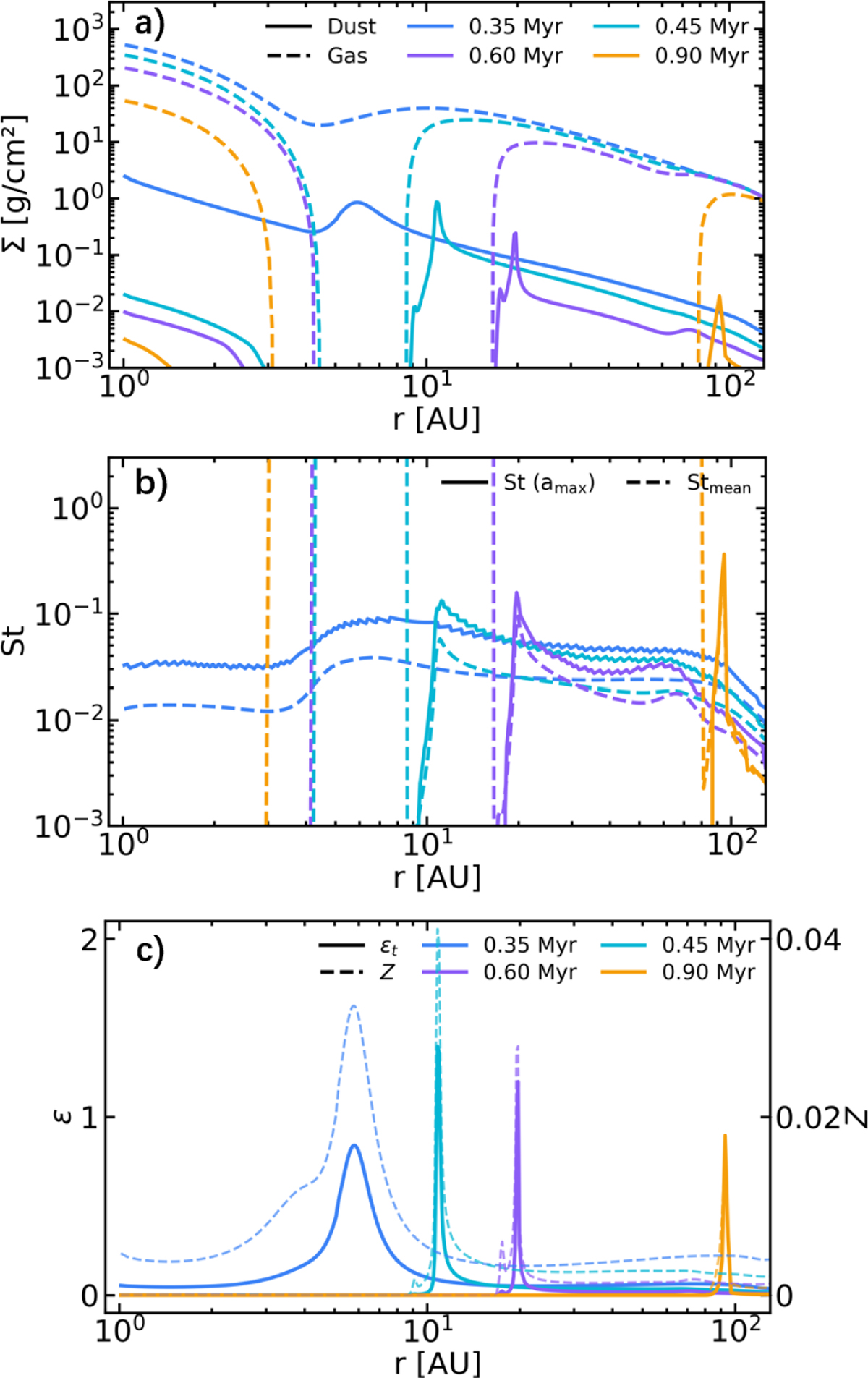
Fig. 1 Refer to the following caption and surrounding text.

Download original image

Time and radial distance evolution of different quantities in the fiducial model. Panel a: gas (dashed lines) and dust (solid lines) surface density. Panel b: Stokes number of the maximum-size dust particles (solid lines) and the mean Stokes number of the dust particles (dashed lines) at each radial bin. Maximum-size refers to the size of the particle whose surface density is at the peak of the mass bins hereafter. Panel c: midplane density ratio ε (solid lines) and metallicity Z (dashed lines).

Current usage metrics show cumulative count of Article Views (full-text article views including HTML views, PDF and ePub downloads, according to the available data) and Abstracts Views on Vision4Press platform.

Data correspond to usage on the plateform after 2015. The current usage metrics is available 48-96 hours after online publication and is updated daily on week days.

Initial download of the metrics may take a while.