Open Access

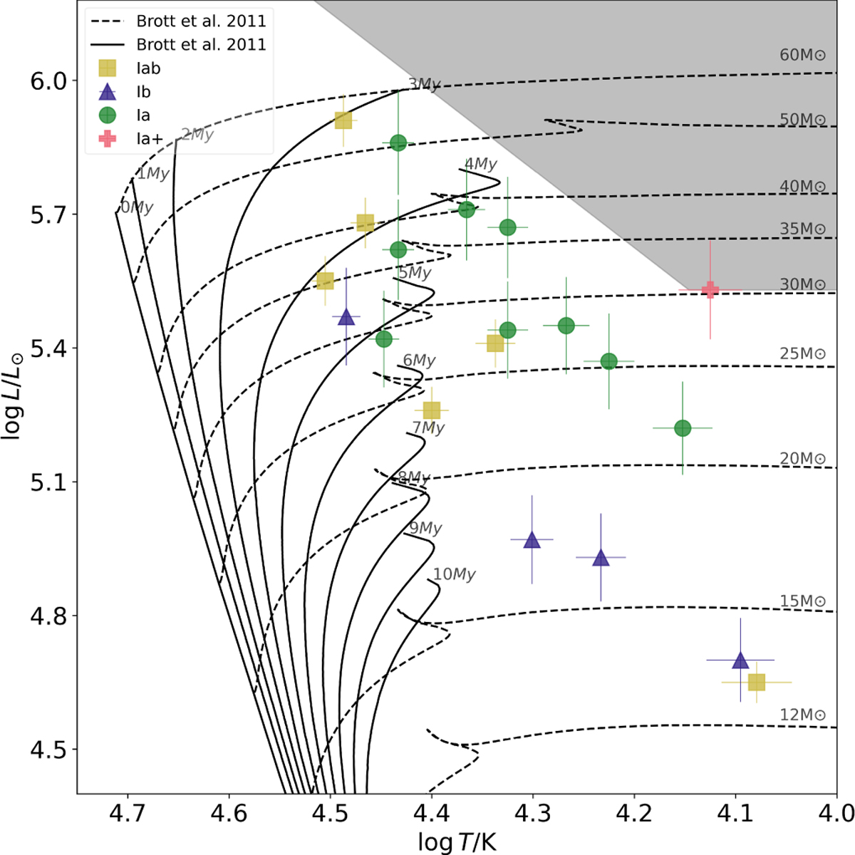
Fig. 1

Fig. 1 Refer to the following caption and surrounding text.

Download original image

Hertzsprung–Russell diagram for our sample. Overlaid in solid black lines are non-rotating SMC isochrones for different ages (≈0−10 Myr). Dashed black lines are the SMC rotating evolutionary tracks for stellar masses in the range of ≈10–60 M with a rotational velocity of 110 km s−1. Both the isochrones and evolutionary tracks are adopted from Brott et al. (2011). The shaded area is defined by the HD limit (Humphreys & Davidson 1979; Smith et al. 2004; Davies et al. 2018).

Current usage metrics show cumulative count of Article Views (full-text article views including HTML views, PDF and ePub downloads, according to the available data) and Abstracts Views on Vision4Press platform.

Data correspond to usage on the plateform after 2015. The current usage metrics is available 48-96 hours after online publication and is updated daily on week days.

Initial download of the metrics may take a while.