Open Access

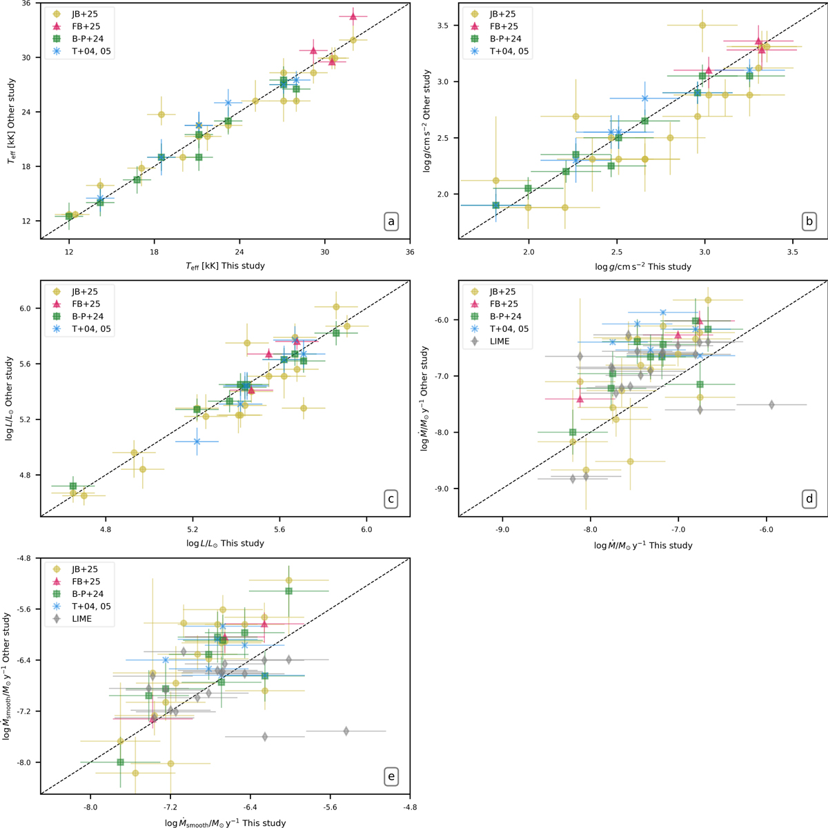
Fig. F.1

Fig. F.1 Refer to the following caption and surrounding text.

Download original image

Comparison of our obtained parameters to literature values. a: Teff comparison, b: log g comparison, c: Lbol comparison, d: log M˙Mathematical equation: ${\dot M}$ comparison, e: log M˙smoothMathematical equation: ${{\dot M}_{{\rm{smooth}}}}$ comparison. Pink triangles: comparison to Backs et al. (2024). Green squares: comparison to Bernini-Peron et al. (2024). Blue Xs: comparison to Trundle et al. (2004) and Trundle & Lennon (2005). Grey diamonds: comparison to values obtained from LIME Sundqvist et al. (2025).

Current usage metrics show cumulative count of Article Views (full-text article views including HTML views, PDF and ePub downloads, according to the available data) and Abstracts Views on Vision4Press platform.

Data correspond to usage on the plateform after 2015. The current usage metrics is available 48-96 hours after online publication and is updated daily on week days.

Initial download of the metrics may take a while.