Open Access

Fig. 10.

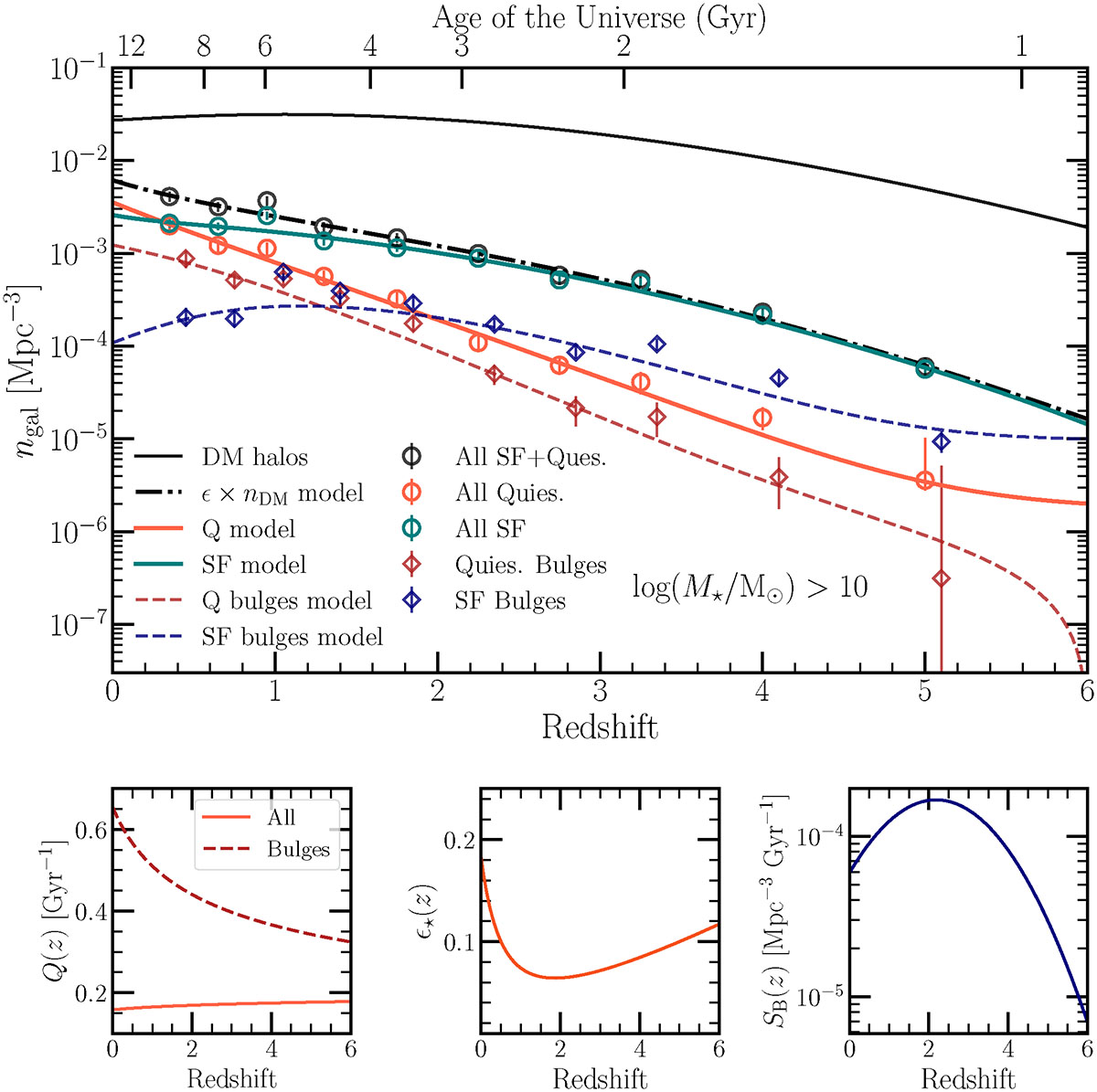
Fig. 10. Refer to the following caption and surrounding text.

Download original image

Empirical modeling of the number densities of star-forming and quiescent galaxies as well as their bulge-dominated subpopulations. The symbols correspond to the measurements, and the curves show the best-fit models as described by the set of differential equations. The bottom panels show the best-fit parametric forms of the quenching rates, integrated SFE, and bulge formation function.

Current usage metrics show cumulative count of Article Views (full-text article views including HTML views, PDF and ePub downloads, according to the available data) and Abstracts Views on Vision4Press platform.

Data correspond to usage on the plateform after 2015. The current usage metrics is available 48-96 hours after online publication and is updated daily on week days.

Initial download of the metrics may take a while.