Open Access

Fig. 8.

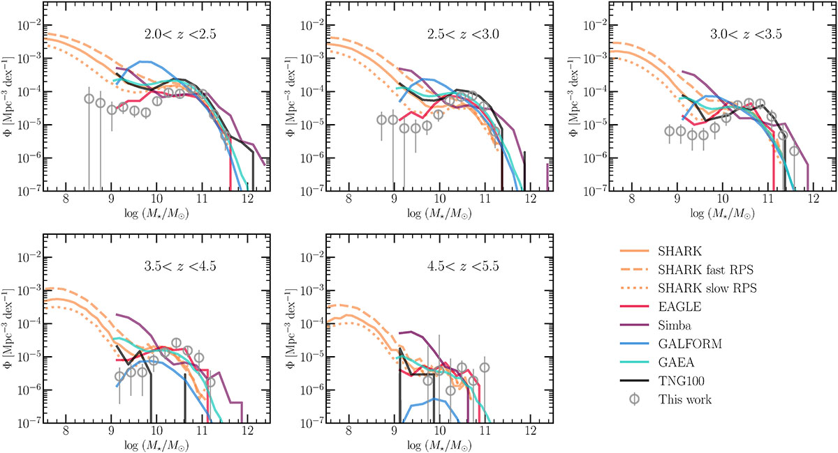
Fig. 8. Refer to the following caption and surrounding text.

Download original image

Comparison of the observed quiescent SMF with semianalytical models and hydrodynamical simulations. These include SHARK (Lagos et al. 2018, 2024) run with two alternative runs with slow and fast ram-pressure stripping, GALFORM (Lacey et al. 2016), GAEA (De Lucia et al. 2024), SIMBA (Davé et al. 2019), EAGLE (Schaye et al. 2015; Crain et al. 2015), AND TNG100 (Springel et al. 2018; Pillepich et al. 2018). They were computed using a UVJ color selection and include uncertainties by convolving the stellar masses with a Gaussian kernel of 0.3 dex.

Current usage metrics show cumulative count of Article Views (full-text article views including HTML views, PDF and ePub downloads, according to the available data) and Abstracts Views on Vision4Press platform.

Data correspond to usage on the plateform after 2015. The current usage metrics is available 48-96 hours after online publication and is updated daily on week days.

Initial download of the metrics may take a while.