Open Access

Fig. 9.

Fig. 9. Refer to the following caption and surrounding text.

Download original image

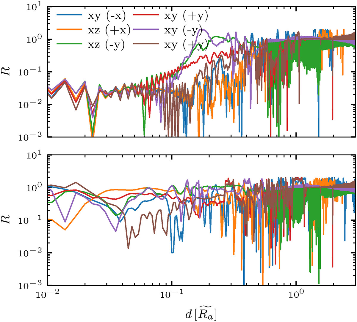
Normalized hydrostatic-centrifugal balance residual R = P + ρ Φ 2 ( u φ * sin θ * ) 2 / d / max ( P , ρ Φ 2 ( u φ * sin θ * ) 2 / d ) Mathematical equation: $ R = \left\lVert \nabla P + \rho \nabla \Phi_2 - (u_{\varphi}^{\ast} \sin \theta^{\ast})^2/d\right\rVert/\max \left(\lVert \nabla P \rVert, \lVert \rho \nabla \Phi_2 - (u_{\varphi}^{\ast} \sin \theta^{\ast})^2/d \rVert\right) $ profiles along radial rays from the companion for rotating and stratified simulations with ϵρ = 3. Top panels: Non-accreting simulation. Bottom panels: Run with δ = 1 and γ = 1000. R is time-averaged within t [ 99 , 100 ] R a / u Mathematical equation: $ t \in [99, 100]\,\widetilde{R_a}/u_{\infty} $.

Current usage metrics show cumulative count of Article Views (full-text article views including HTML views, PDF and ePub downloads, according to the available data) and Abstracts Views on Vision4Press platform.

Data correspond to usage on the plateform after 2015. The current usage metrics is available 48-96 hours after online publication and is updated daily on week days.

Initial download of the metrics may take a while.