Open Access

Fig. 2

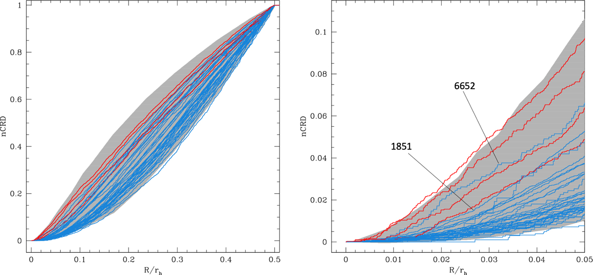
Fig. 2 Refer to the following caption and surrounding text.

Download original image

Observed nCRDs of the 40 GCs analyzed in this work. The red lines refer to the four PCC systems in the sample, and the blue lines refer to the other GCs. The right panel shows a zoomed-in view of the innermost region (out to 0.05 × rh), where the nCRD parameters are measured. In both panels, the gray shaded areas correspond to the region occupied by the nCRDs of the B24 simulated clusters.

Current usage metrics show cumulative count of Article Views (full-text article views including HTML views, PDF and ePub downloads, according to the available data) and Abstracts Views on Vision4Press platform.

Data correspond to usage on the plateform after 2015. The current usage metrics is available 48-96 hours after online publication and is updated daily on week days.

Initial download of the metrics may take a while.