Open Access

Fig. 3

Fig. 3 Refer to the following caption and surrounding text.

Download original image

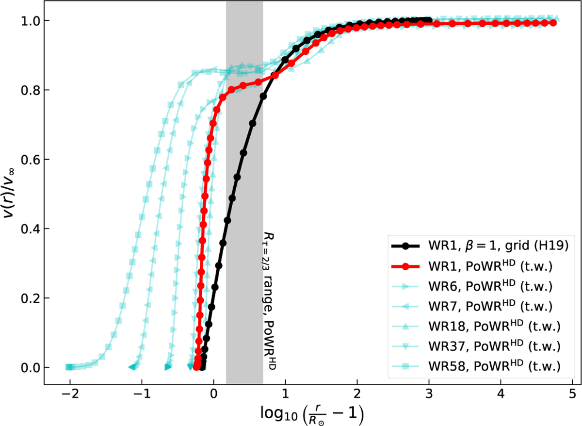
Velocity stratification υ(r) comparison of the best-fit WN4b β = 1 grid model (H19, black connected circles) and the PoWRHD models in this work (red connected circles) of WR1. The υ(r) of the remaining five targets in this work are shown in cyan for comparison. The range of photospheric radii of the PoWRHD models at optical depth τ = 2/3 R2/3 is shaded in grey. The difference in outermost radii between the grid models and the PoWRHD models is due to the former being traditionally modelled up to 1000 R and the latter up to 50 000 R*.

Current usage metrics show cumulative count of Article Views (full-text article views including HTML views, PDF and ePub downloads, according to the available data) and Abstracts Views on Vision4Press platform.

Data correspond to usage on the plateform after 2015. The current usage metrics is available 48-96 hours after online publication and is updated daily on week days.

Initial download of the metrics may take a while.