Open Access

Fig. 10.

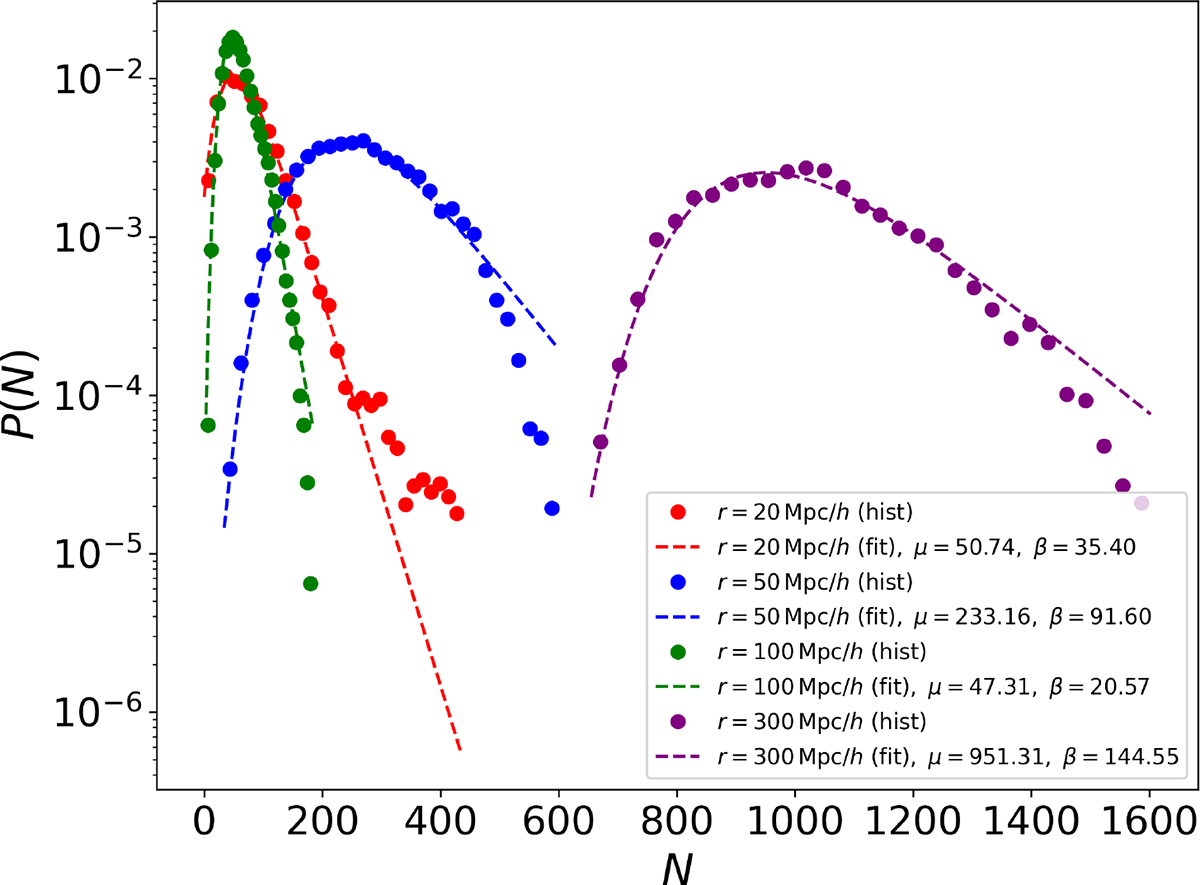
Fig. 10. Refer to the following caption and surrounding text.

Download original image

PDF of the galaxy counts P(N; r) in spheres of different radii and for different samples. Top left: VL4 at r = 20 Mpc/h. Top right: VL5 at r = 50 Mpc/h. Bottom left: LRGS at r = 100 Mpc/h. Bottom right: LRGS at r = 300 Mpc/h. The best-fit Gumbel distribution is also shown.

Current usage metrics show cumulative count of Article Views (full-text article views including HTML views, PDF and ePub downloads, according to the available data) and Abstracts Views on Vision4Press platform.

Data correspond to usage on the plateform after 2015. The current usage metrics is available 48-96 hours after online publication and is updated daily on week days.

Initial download of the metrics may take a while.