Open Access

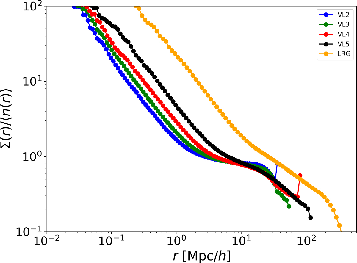
Fig. 8.

Fig. 8. Refer to the following caption and surrounding text.

Download original image

Behavior of the relative standard deviation Σ(r)/⟨n(r)⟩ as a function of the distance for the different samples. Up to scales ∼200 Mpc/h, this quantity is of order one or larger, which signifies a lack of self averaging and the presence of large scale structures.

Current usage metrics show cumulative count of Article Views (full-text article views including HTML views, PDF and ePub downloads, according to the available data) and Abstracts Views on Vision4Press platform.

Data correspond to usage on the plateform after 2015. The current usage metrics is available 48-96 hours after online publication and is updated daily on week days.

Initial download of the metrics may take a while.