Open Access

Fig. 4.

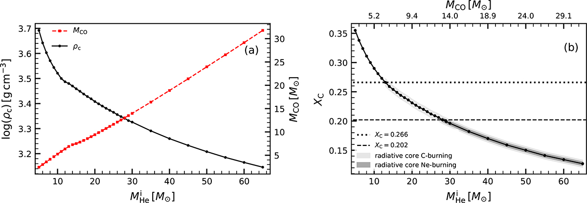
Fig. 4. Refer to the following caption and surrounding text.

Download original image

Core properties at the end of core He burning as a function of initial mass. Panel (a): central density ρc and CO core mass MCO at the end of core He burning, shown as a function of the initial He star mass M He i Mathematical equation: $ M_{\mathrm{He}}^{\mathrm{i}} $. Panel (b): corresponding central 12 C Mathematical equation: $ ^{12}\rm C $ mass fraction XC at the end of core He burning, with the top axis indicating the CO core mass MCO for each M He i Mathematical equation: $ M_{\mathrm{He}}^{\mathrm{i}} $. Light and dark gray shaded regions denote models undergoing radiative core C and Ne burning, respectively. The dotted and dashed lines represent the threshold 12C mass fractions separating convective and radiative burning regimes.

Current usage metrics show cumulative count of Article Views (full-text article views including HTML views, PDF and ePub downloads, according to the available data) and Abstracts Views on Vision4Press platform.

Data correspond to usage on the plateform after 2015. The current usage metrics is available 48-96 hours after online publication and is updated daily on week days.

Initial download of the metrics may take a while.