Open Access

Fig. 7.

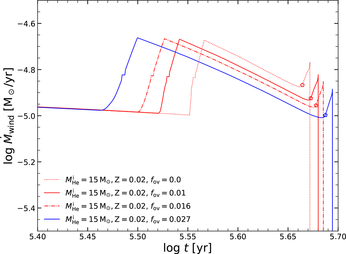
Fig. 7. Refer to the following caption and surrounding text.

Download original image

Rate of stellar wind mass loss as a function of evolutionary age for M He i = 15 M Mathematical equation: $ M_{\mathrm{He}}^{\mathrm{i}} = 15 \,M_{\odot} $ models at Z = 0.02 with varying overshooting parameters. The red solid line is for fov = 0.01, the blue solid line is for fov = 0.027, the dash-dotted line is for fov = 0.02, and the dotted line is for fov = 0.0 (no overshooting). The pentagram indicates central He depletion.

Current usage metrics show cumulative count of Article Views (full-text article views including HTML views, PDF and ePub downloads, according to the available data) and Abstracts Views on Vision4Press platform.

Data correspond to usage on the plateform after 2015. The current usage metrics is available 48-96 hours after online publication and is updated daily on week days.

Initial download of the metrics may take a while.