Open Access

Fig. 6.

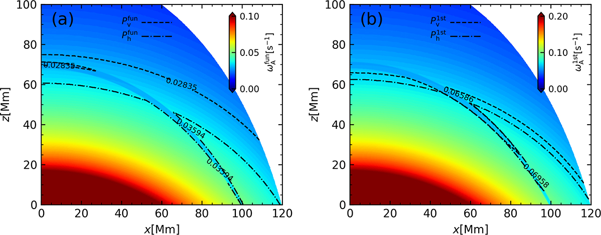
Fig. 6. Refer to the following caption and surrounding text.

Download original image

Map of the local Alfvén frequency on the y = 0 plane for (a) the fundamental modes and (b) the first overtones. The dashed (dash-dotted) lines represent contours of the frequencies corresponding to the vertical (horizontal) polarizations as labelled.

Current usage metrics show cumulative count of Article Views (full-text article views including HTML views, PDF and ePub downloads, according to the available data) and Abstracts Views on Vision4Press platform.

Data correspond to usage on the plateform after 2015. The current usage metrics is available 48-96 hours after online publication and is updated daily on week days.

Initial download of the metrics may take a while.