Open Access

Fig. 8

Fig. 8 Refer to the following caption and surrounding text.

Download original image

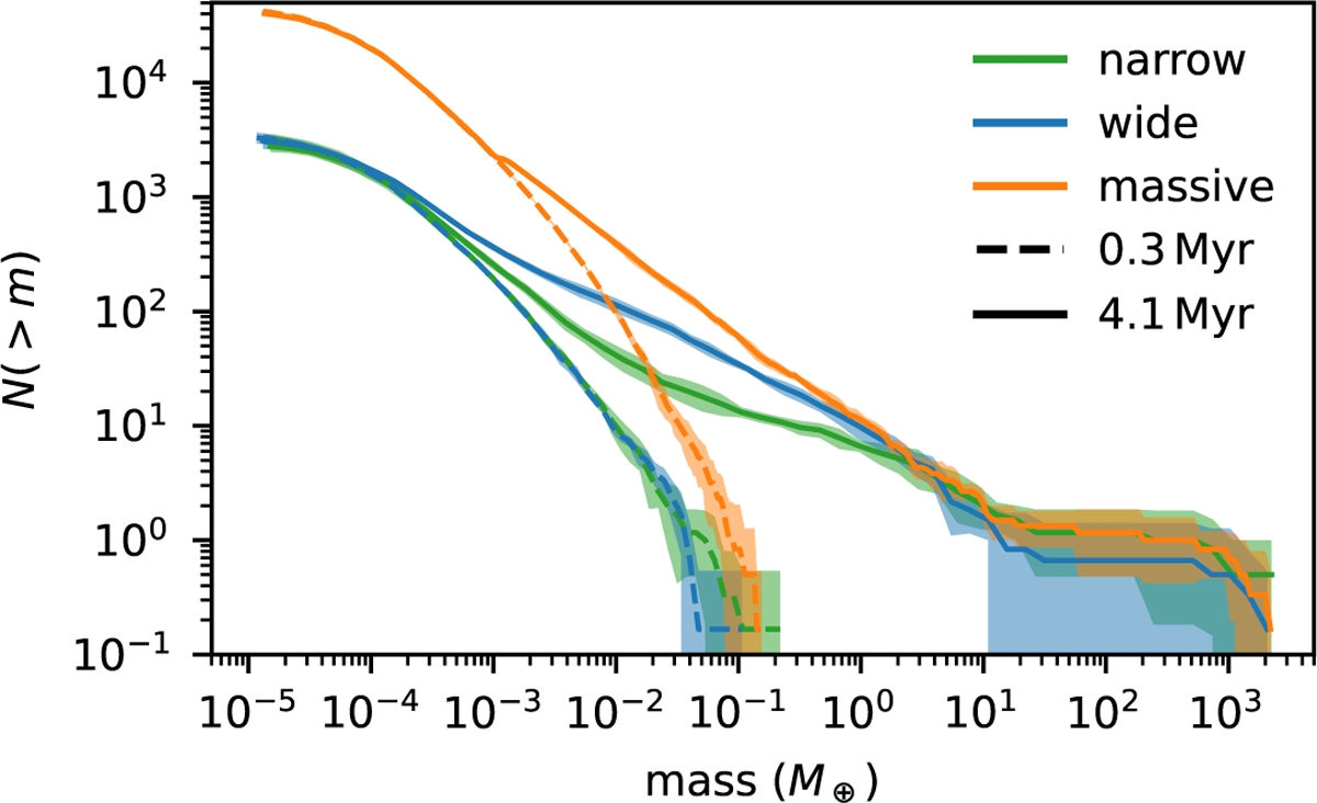
Mass distribution at 4.1 Myr. We show the average mass distributions for the narrow (green), wide (blue), and high-mass wide (orange) rings at 4.1 Myr (solid lines) with respective standard deviation (shaded area). The initial distributions (dashed lines) are shown for comparison.

Current usage metrics show cumulative count of Article Views (full-text article views including HTML views, PDF and ePub downloads, according to the available data) and Abstracts Views on Vision4Press platform.

Data correspond to usage on the plateform after 2015. The current usage metrics is available 48-96 hours after online publication and is updated daily on week days.

Initial download of the metrics may take a while.