Open Access

Fig. 2

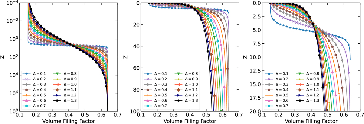
Fig. 2 Refer to the following caption and surrounding text.

Download original image

Function Z(φ; ∆, φs, φd) in Eq. (10) with fixed values φs = 0.15, φd = 0.64, and ∆ = 0.1,0.2,... 1.3 in logarithmic (left) and two different linear scalings (centre and right). The respective depth function x(φ; ∆, φs, φd) can be derived by x = (Z pm)/(g ρgrain) using Eq. (10).

Current usage metrics show cumulative count of Article Views (full-text article views including HTML views, PDF and ePub downloads, according to the available data) and Abstracts Views on Vision4Press platform.

Data correspond to usage on the plateform after 2015. The current usage metrics is available 48-96 hours after online publication and is updated daily on week days.

Initial download of the metrics may take a while.