Open Access

Fig. 7

Fig. 7 Refer to the following caption and surrounding text.

Download original image

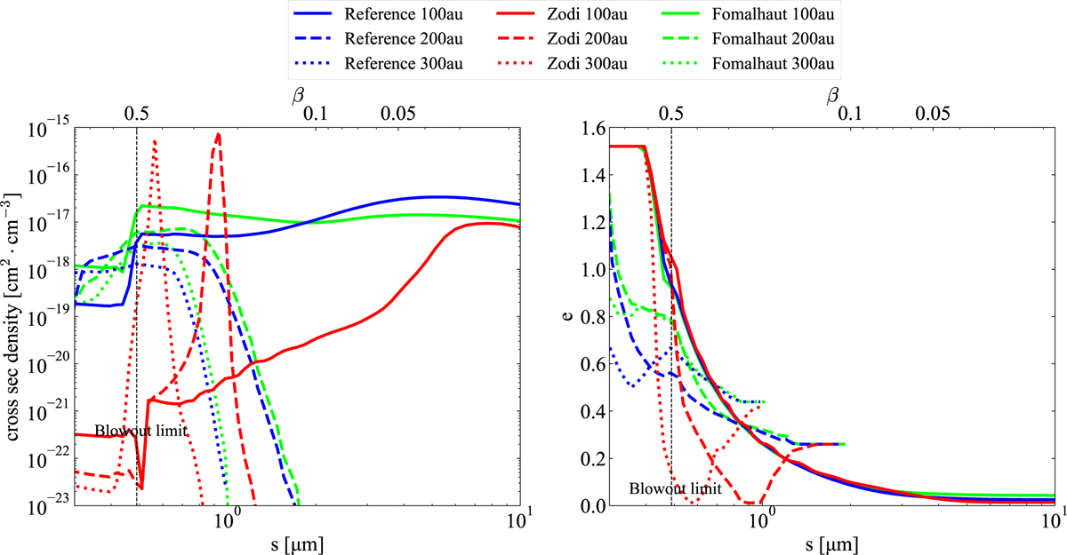
Size distribution of dust grains (left) and average eccentricity of different-sized dust grains (right) in the Reference, Fomalhaut, and Zodi runs at three selected stellocentric distances: 100 au (solid lines), 150 au (dashed), and 200 au (dotted). Note that only dust grains smaller than 10 µm are shown. In both panels, the blowout grain size is marked with a vertical black line.

Current usage metrics show cumulative count of Article Views (full-text article views including HTML views, PDF and ePub downloads, according to the available data) and Abstracts Views on Vision4Press platform.

Data correspond to usage on the plateform after 2015. The current usage metrics is available 48-96 hours after online publication and is updated daily on week days.

Initial download of the metrics may take a while.