Open Access

Fig. D.1.

Fig. D.1. Refer to the following caption and surrounding text.

Download original image

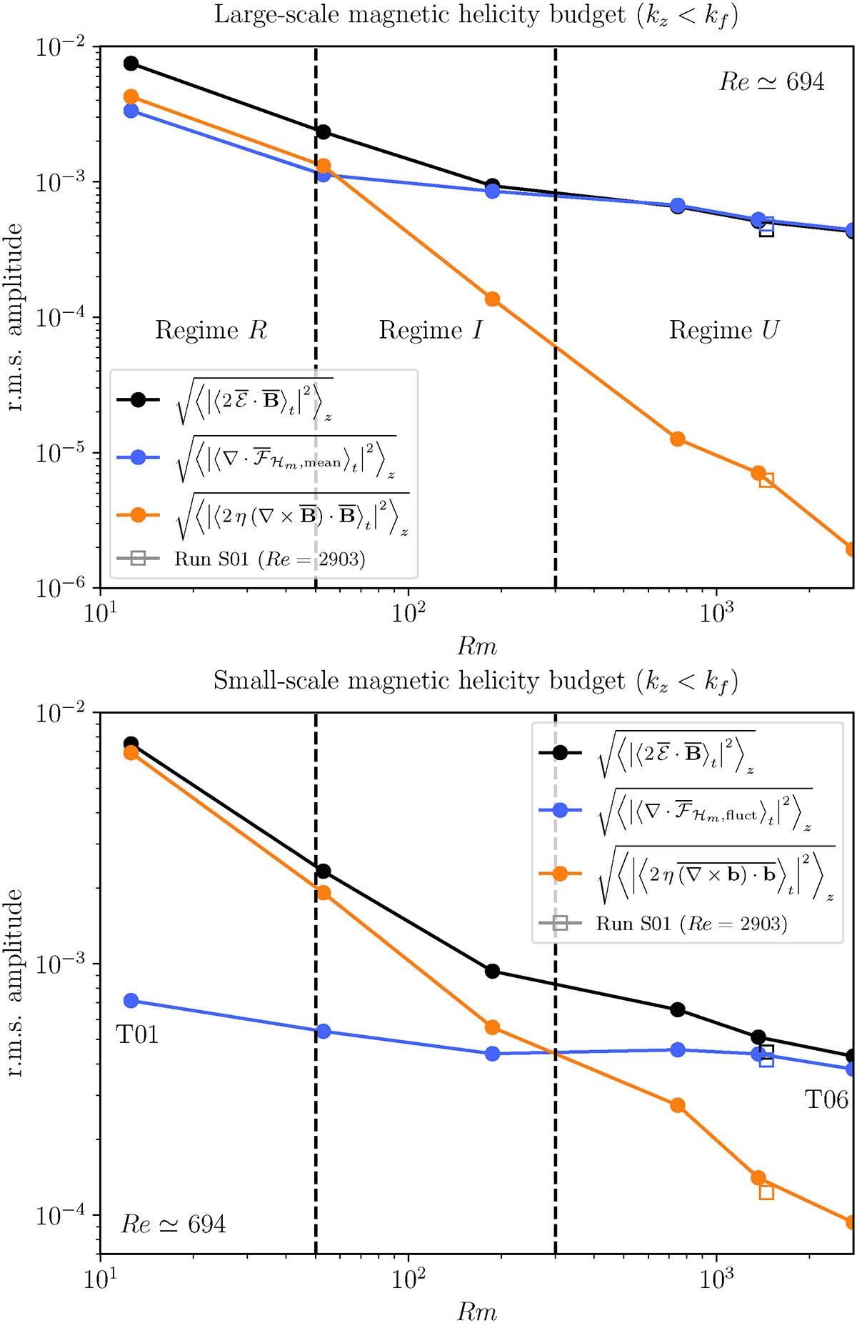
Helicity budgets for the T and S runs as a function of Rm, with corresponding regime tags and qualitative separations between regimes (vertical dashed lines). The lines and full circles correspond to the T runs (Re ≃ 694 based on T06) in R21; the empty squares show the same quantities for the new Re ≃ 2900, Pm = 0.5 run S01.

Current usage metrics show cumulative count of Article Views (full-text article views including HTML views, PDF and ePub downloads, according to the available data) and Abstracts Views on Vision4Press platform.

Data correspond to usage on the plateform after 2015. The current usage metrics is available 48-96 hours after online publication and is updated daily on week days.

Initial download of the metrics may take a while.