Open Access

Fig. 1

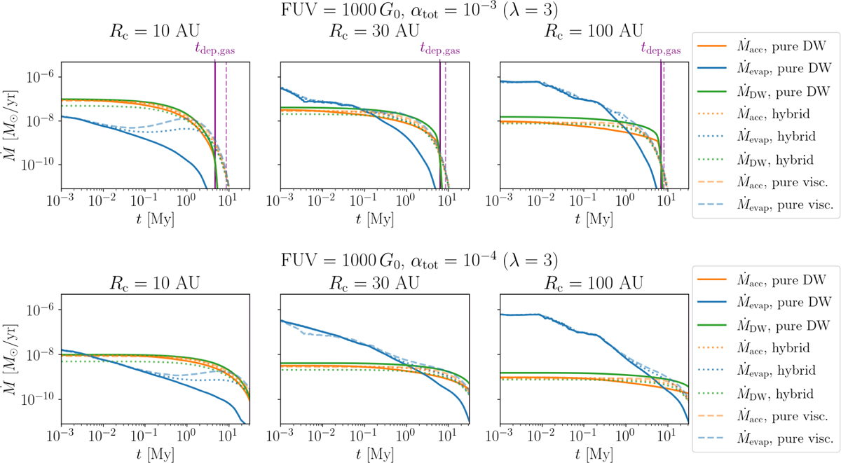
Fig. 1 Refer to the following caption and surrounding text.

Download original image

Mass accretion rates, photoevaporative mass loss rates, and MHD-wind-driven mass loss rates for discs of different initial sizes and with different values of ψDW, namely ψDW = 0 (purely viscous disc, dotted lines), ψDW = 1 (hybrid disc, dashed lines), and ψDW ≫ 1 (purely MHD-wind disc, continuous lines). For explanatory purposes we consider here high irradiation, 1000 G0, and low-to-moderate total αtot = 10−4–10−3. The vertical dashed purple lines represent the gas disc lifetime diagnostic tdep,gas (see Sect. 3.3).

Current usage metrics show cumulative count of Article Views (full-text article views including HTML views, PDF and ePub downloads, according to the available data) and Abstracts Views on Vision4Press platform.

Data correspond to usage on the plateform after 2015. The current usage metrics is available 48-96 hours after online publication and is updated daily on week days.

Initial download of the metrics may take a while.