Open Access

Fig. A.1

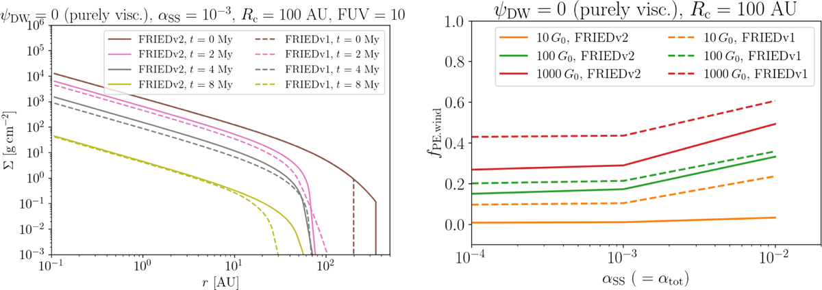
Fig. A.1 Refer to the following caption and surrounding text.

Download original image

Comparison of identical setups using the fiducial original FRIED grid (FRIEDv2) vs. the fiducial FRIEDv2 for the photoevaporative mass loss, in the case of purely viscous discs. Left panel: Surface density evolution, for given αSS and FUV field. Right panel: Fraction of dust mass loss to the wind for various αSS and FUV fields.

Current usage metrics show cumulative count of Article Views (full-text article views including HTML views, PDF and ePub downloads, according to the available data) and Abstracts Views on Vision4Press platform.

Data correspond to usage on the plateform after 2015. The current usage metrics is available 48-96 hours after online publication and is updated daily on week days.

Initial download of the metrics may take a while.