Open Access

Fig. B.1

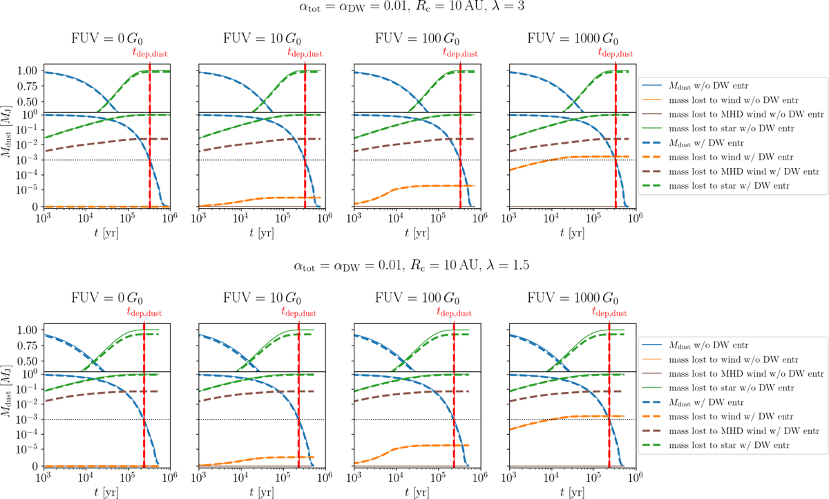
Fig. B.1 Refer to the following caption and surrounding text.

Download original image

Evolution of the dust components in models including (thick dashed lines) or not including (thin continuous lines) dust entrainment and removal in MHD winds. Top panel: We consider the subset of the disc parameters used in this paper that would be most affected by MHD-wind dust entrainment, namely ψDW ≫ 1 (MHD-wind discs), high αtot = αDW = 0.01, low Rc = 10 AU, our fiducial λ = 3, and various FUV fluxes. We plot the evolution of the total dust mass, and the evolution of the dust mass lost to the photoevaporative wind, to the MHD wind and to the star (see second row of Fig. 3). A top inset with a linear vertical axis scaling is added to better display the very small differences that would otherwise be undetectable. Bottom panel: Same disc setups but with λ = 1.5, where MHD-wind-driven mass removal is most effective. Again, even in this extreme case, adding MHD-wind dust entrainment modifies only slightly the dust evolution and only affects the amount of dust accreted onto the star by a marginal amount (only visible in the top inset with linear vertical axis scaling).

Current usage metrics show cumulative count of Article Views (full-text article views including HTML views, PDF and ePub downloads, according to the available data) and Abstracts Views on Vision4Press platform.

Data correspond to usage on the plateform after 2015. The current usage metrics is available 48-96 hours after online publication and is updated daily on week days.

Initial download of the metrics may take a while.