Open Access

Fig. B.2

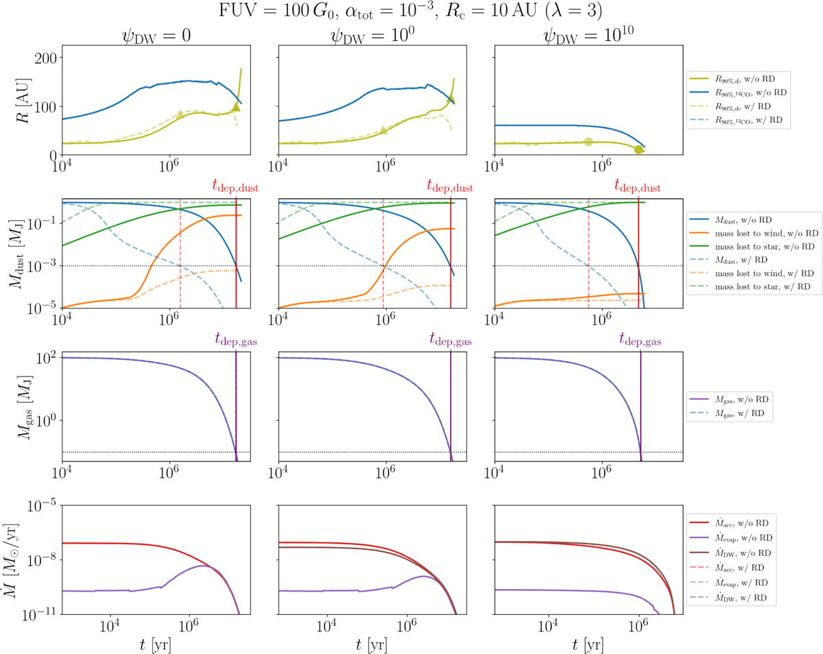
Fig. B.2 Refer to the following caption and surrounding text.

Download original image

Results for a setup including (dashed lines) and not including (continuous lines) dust radial drift. The top three rows plot the same quantities as in Fig. 3, with different columns corresponding to different ψDW = αDW/αSS. We add the mass accretion rates as a bottom row (see Fig. 1).

Current usage metrics show cumulative count of Article Views (full-text article views including HTML views, PDF and ePub downloads, according to the available data) and Abstracts Views on Vision4Press platform.

Data correspond to usage on the plateform after 2015. The current usage metrics is available 48-96 hours after online publication and is updated daily on week days.

Initial download of the metrics may take a while.