Open Access

Fig. A.3

Fig. A.3 Refer to the following caption and surrounding text.

Download original image

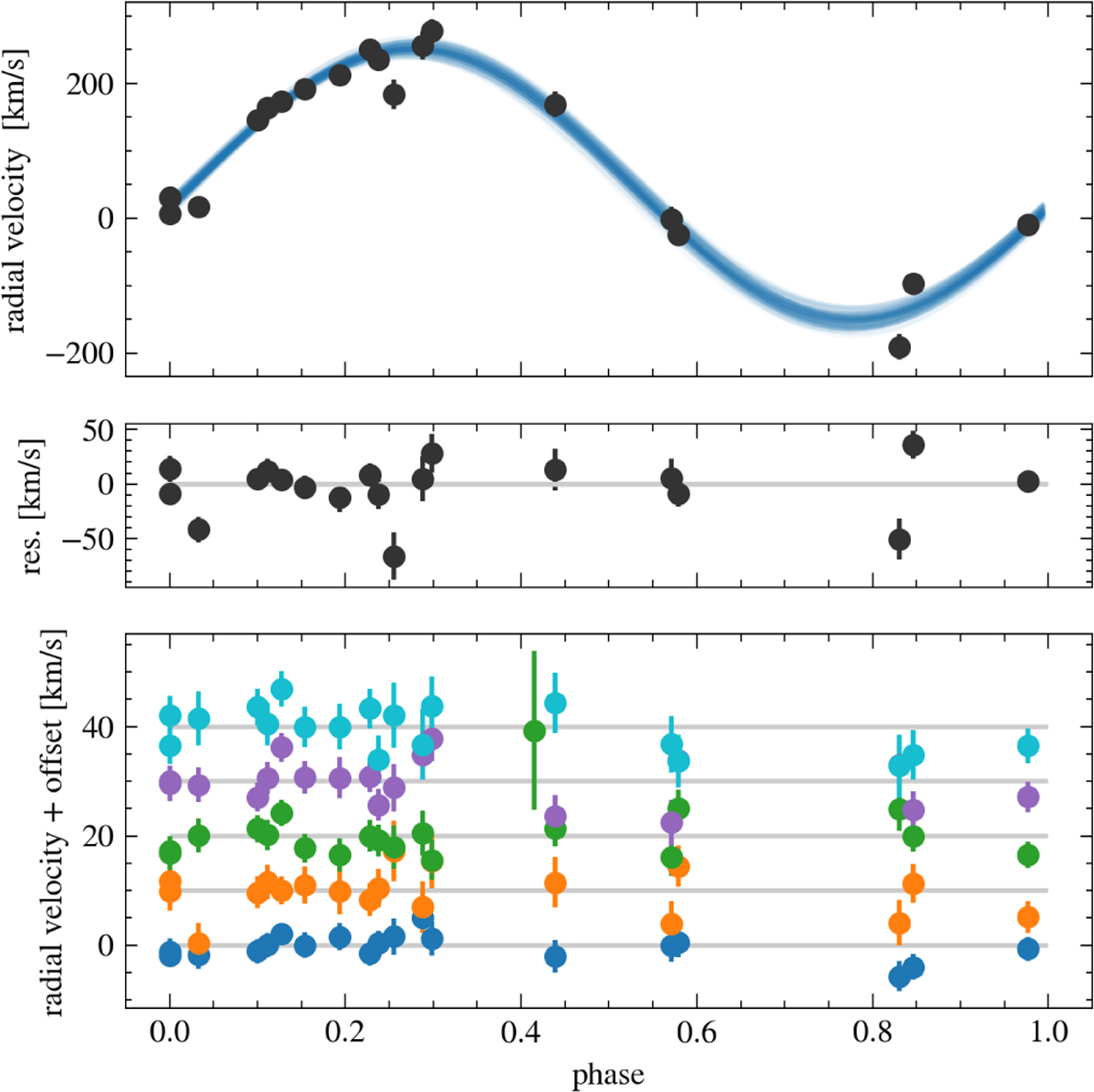
Phase-folded RV curve for NF1 AB (top), residuals (middle), and five close-by comparison stars (bottom, same colour-coding as Fig. A.1). For the RV curve of each comparison star, we add an offset and subtract the median RV. Note the different scales on the y-axis.

Current usage metrics show cumulative count of Article Views (full-text article views including HTML views, PDF and ePub downloads, according to the available data) and Abstracts Views on Vision4Press platform.

Data correspond to usage on the plateform after 2015. The current usage metrics is available 48-96 hours after online publication and is updated daily on week days.

Initial download of the metrics may take a while.