Open Access

Fig. B.1

Fig. B.1 Refer to the following caption and surrounding text.

Download original image

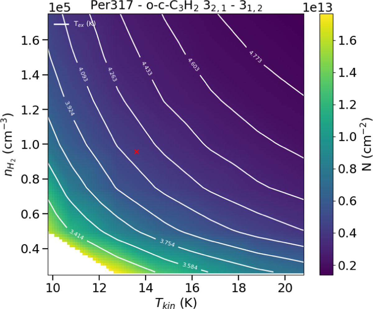
Column density of the ortho-c-C3H2 32,1 - 31,2 transition of Per317 plotted with a colour gradient for a range of nH2Mathematical equation: ${n_{{{\rm{H}}_2}}}$ and Tkin. The contour white lines indicate the excitation temperature of the transition, Tex, and the red cross marks the nH2Mathematical equation: ${n_{{{\rm{H}}_2}}}$ and Tkin values derived in Pezzuto et al. (2021).

Current usage metrics show cumulative count of Article Views (full-text article views including HTML views, PDF and ePub downloads, according to the available data) and Abstracts Views on Vision4Press platform.

Data correspond to usage on the plateform after 2015. The current usage metrics is available 48-96 hours after online publication and is updated daily on week days.

Initial download of the metrics may take a while.