Open Access

Fig. 3.

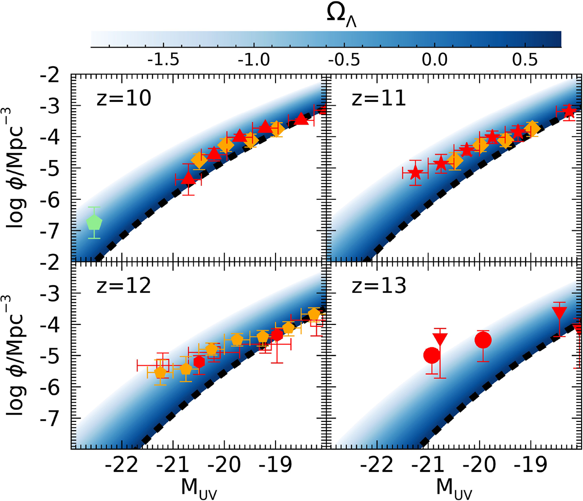
Fig. 3. Refer to the following caption and surrounding text.

Download original image

High-redshift UV luminosity functions of galaxies for our fiducial combination of (w0, wa) in the different redshift bins shown by the labels. The colour-code corresponds to the different values of ΩΛ as shown in the top bar, while the dashed line marks the results for the standard ΛCDM cosmology. We compared with measurements from Finkelstein et al. (2023, diamonds), Donnan et al. (2023, stars), McLeod et al. (2023, upward triangle), Harikane et al. (2023a, open square), Adams et al. (2024, pentagon), Bouwens et al. (2022, circle), and Robertson et al. (2024, downward triangle).

Current usage metrics show cumulative count of Article Views (full-text article views including HTML views, PDF and ePub downloads, according to the available data) and Abstracts Views on Vision4Press platform.

Data correspond to usage on the plateform after 2015. The current usage metrics is available 48-96 hours after online publication and is updated daily on week days.

Initial download of the metrics may take a while.