Open Access

Fig. 6.

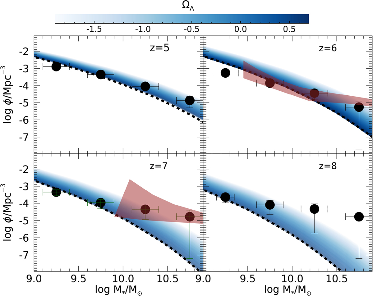
Fig. 6. Refer to the following caption and surrounding text.

Download original image

Stellar mass function of galaxies for the different values of ΩΛ shown in the colour bar for our fiducial combination w0 = −0.98, wa = 0.08; the dashed line marks the result for the standard ΛCDM cosmology. We compared the JWST measurements by Weibel et al. (2024) with the estimate by Akins et al. (2024, shaded area), which considered the additional contribution by LRDs under the assumption that the emission was entirely contributed by stars.

Current usage metrics show cumulative count of Article Views (full-text article views including HTML views, PDF and ePub downloads, according to the available data) and Abstracts Views on Vision4Press platform.

Data correspond to usage on the plateform after 2015. The current usage metrics is available 48-96 hours after online publication and is updated daily on week days.

Initial download of the metrics may take a while.