Open Access
Erratum
This article is an erratum for:
[https://doi.org/10.1051/0004-6361/202449758]


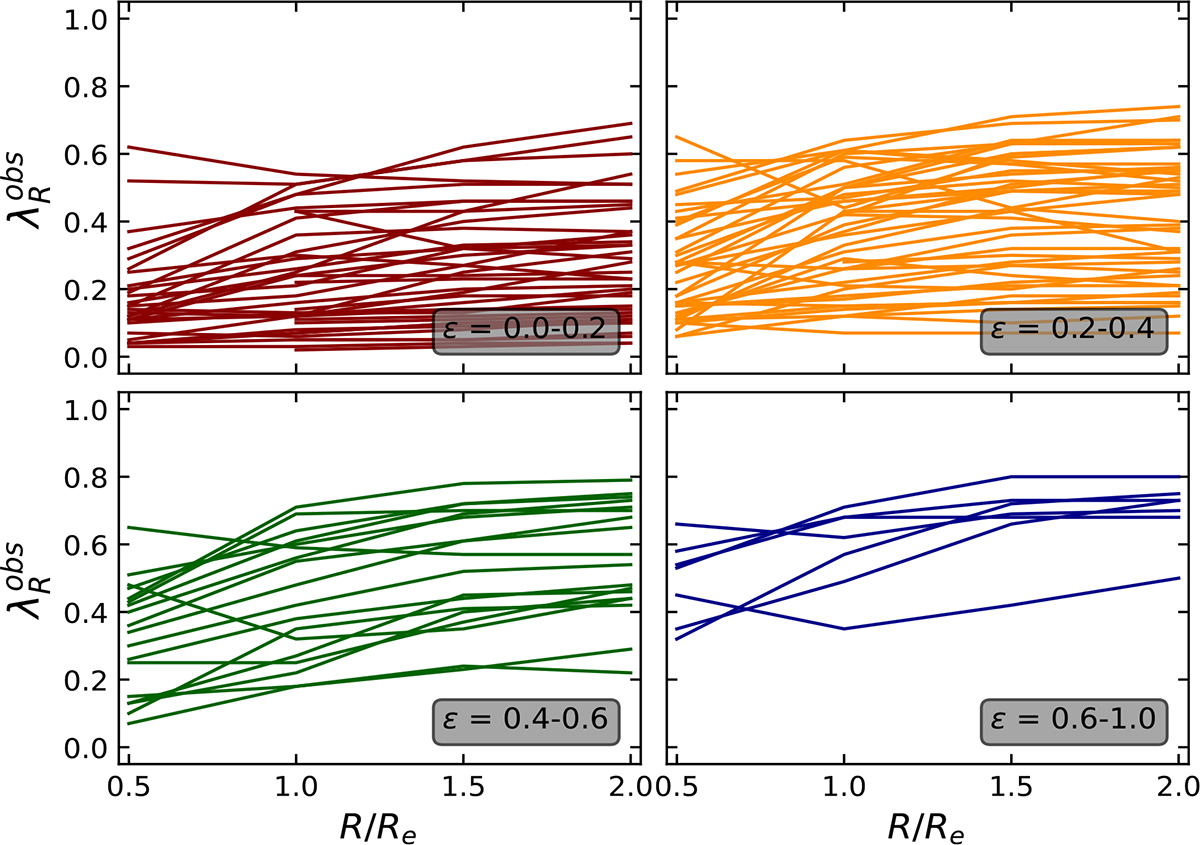
Fig. 1.

Fig. 1. Refer to the following caption and surrounding text.

Download original image

Updated observed stellar angular momentum profile for the sample galaxy for different aperture radii (0.5, 1.0, 1.5, and 2 Re) relative to the effective radius. The values are not seeing-corrected. The colours indicate the galaxy ellipticity ϵ, which is also indicated in each panel. This figure corresponds to the updated version of Figure 4 in Muñoz López et al. (2024).

Current usage metrics show cumulative count of Article Views (full-text article views including HTML views, PDF and ePub downloads, according to the available data) and Abstracts Views on Vision4Press platform.

Data correspond to usage on the plateform after 2015. The current usage metrics is available 48-96 hours after online publication and is updated daily on week days.

Initial download of the metrics may take a while.